ГОСТ Р 51263-99 Полистиролбетон Технические условия

Автор: | 17.02.2015

ГОСТ Р 51263-99

     

Группа Ж13

     

     

ГОСУДАРСТВЕННЫЙ СТАНДАРТ РОССИЙСКОЙ ФЕДЕРАЦИИ

     

     

ПОЛИСТИРОЛБЕТОН

     

Технические условия

     

Concrete with polysterene aggregates.     

Specification

ОКС 91.100.30

ОКСТУ 5870

Дата введения 1999-09-01

     

     

Предисловие

1  РАЗРАБОТАН Всероссийским федеральным технологическим институтом ВНИИжелезобетон

ВНЕСЕН  Управлением технического нормирования, стандартизации и сертификации Госстроя России

2  УТВЕРЖДЕН И ВВЕДЕН В ДЕЙСТВИЕ постановлением Госстроя России от 29 декабря 1998 г. № 29

3  ВВЕДЕН ВПЕРВЫЕ

Введение

Стандарт  разработан Всероссийским федеральным технологическим институтом ВНИИжелезобетон за счет собственных средств на основании результатов разработок института с учетом анализа и обобщения накопленного отечественного и зарубежного опыта.

Разработчики:  канд. техн. наук, проф. В.А. Рахманов (руководитель темы); канд. техн. наук В.Г. Довжик (зам. руководителя темы); кандидаты технических наук: В.И. Мелихов, В.Н. Россовский, А.И. Козловский, Ю.И. Иванова, М.Л. Зайченко; инж. Т.Д. Семенова.

    1 Область применения

Настоящий  стандарт распространяется на легкий бетон на цементном вяжущем и вспученном (полистирольном) заполнителе (далее — полистиролбетон) для жилищного и гражданского строительства.

Стандарт  устанавливает технические требования к полистиролбетону и полистиролбетонным смесям, а также материалам для их приготовления, методы контроля их технических характеристик.

Требования,  изложенные в 3.3.7 — 3.3.9, 4.1 — 4.4, а также 5.6 и 5.7 настоящего стандарта, являются обязательными.

    2 Нормативные ссылки

Используемые  в настоящем стандарте нормативные документы приведены в приложении А.

    3 Технические требования

3.1  Требования настоящего стандарта следует соблюдать при разработке новых и пересмотре действующих стандартов и технических условий для проектной и технологической документации на изделия из полистиролбетона.

3.2  Полистиролбетон следует приготавливать в соответствии с требованиями настоящего стандарта по проектной и технологической документации на изделия конкретных видов, утвержденной в установленном порядке.

Рекомендуемые  области применения полистиролбетона приведены в приложении Б.

           

3.3  Характеристики     

3.3.1  Требования к полистиролбетону установлены в соответствии с ГОСТ 25192, ГОСТ 25820 и СТ СЭВ 1406.

3.3.2  Прочность полистиролбетона в проектном возрасте характеризуют классами по прочности на сжатие В0,5; В0,75; В1; В1,5; В2; В2,5.

Прочность  полистиролбетона, изделия из которого запроектированы без учета требований СТ СЭВ 1406, характеризуется марками по прочности на сжатие: М2; М2,5; М3,5, М5.

Соотношение  между классами полистиролбетона и марками при нормативном коэффициенте вариации 18% приведено в приложении В.

3.3.3  По показателям средней плотности устанавливают следующие марки полистиролбетона в сухом состоянии: D150, D200, D250; D300; D350; D400; D450; D500; D550; D600.

3.3.4  Для полистиролбетона, применяемого в изделиях и конструкциях, подвергающихся в процессе эксплуатации попеременному замораживанию и оттаиванию, назначают следующие марки по морозостойкости: F25; F35; F50; F75; F100.

Назначение  марок полистиролбетона по морозостойкости проводят по нормам строительного проектирования в зависимости от класса зданий, режима эксплуатации и расчетных температур наружного воздуха в районах строительства.

3.3.5  Классы и марки полистиролбетона в изделиях и конструкциях конкретных видов назначают по стандартам или техническим условиям на эти изделия и конструкции, по нормам строительного проектирования с учетом требований таблицы 1.

Нормативные  и расчетные сопротивления полистиролбетона, необходимые при расчете и проектировании изделий и конструкций, принимаются по приложению Г.

Таблица  1






Марка по прочности



Класс по прочности на сжатие



Марка по


  

  

плотности


морозостойкости



М2




D150, D200






М2,5


D150, D200


Не нормируется


М3,5


D200, D250







М5





D200, D250, D300




F25 — F35






В0,5


D250, D300, D350


F35 — F50






В0,75


D300, D350, D400


F35 — F50






В1,0


D350, D400, D450


F35 — F50






В1,5


D400, D450, D500


F35 — F75






В2,0


D500, D550, D600


F50 — F100






В2,5


D500, D550, D600


F50 — F100


3.3.6.  Фактическая средняя плотность полистиролбетона не должна превышать требуемого значения, установленного в соответствии с ГОСТ 27005.

3.3.7.  Прочность на растяжение при изгибе в зависимости от класса (марки) полистиролбетона по прочности на сжатие должна быть не ниже значений, приведенных в таблице 2.

Таблица  2




Класс или марка

по прочности на сжатие



Предел прочности на

растяжение при изгибе, МПа


  

  


М2



0,08


М2,5


0,10


М3,5


0,15


В0,35


0,25


В0,5


0,35


В0,75


0,50


В1,0


0,60


В1,5


0,65


В2,0


0,70


В2,5


0,73


3.3.8  Коэффициент теплопроводности полистиролбетона в сухом состоянии при температуре 25 °С не должен превышать более чем на 10% значений, приведенных в таблице 3.

Теплотехнические  показатели полистиролбетона, необходимые при расчете изделий и конструкций, принимаются по приложению Д.

3.3.9  Деформации усадки полистиролбетона, предназначенного для монолитных наружных стен, не должны превышать 1,0 мм/м.

Таблица  3




Марка по средней плотности



Коэффициент теплопроводности в сухом состоянии, Вт/(м·°С)



D150



0,055


D200


0,065


D250


0,075


D300


0,085


D350


0,095


D400


0,10


D450


0,115


D500


0,125


D550


0,135


D600


0,145


3.3.10  В зависимости от назначения и условий работы полистиролбетон в изделиях и конструкциях в соответствии с ГОСТ 25192 может иметь плотную, поризованную или крупнопористую структуру.

Характер  структуры полистиролбетона указывается в стандартах или технических условиях на изделия и конструкции конкретных видов и проектной документации.

3.3.11  Полистиролбетон плотной или поризованной структуры с расходом цемента не менее 200 кг/м обеспечивает при обычных условиях эксплуатации сохранность стальной арматуры от коррозии.

    

 

3.3.12  В стандартах или технических условиях на изделия и конструкции конкретных видов в зависимости от условий работы следует устанавливать дополнительные требования к качеству полистиролбетона, предусмотренные ГОСТ 4.212.

3.4  Требования к бетонным смесям и материалам

3.4.1  Качество полистиролбетонных смесей и технология их приготовления должны обеспечивать в изделиях и конструкциях получение полистиролбетона, удовлетворяющего требованиям по всем нормируемым показателям качества.

3.4.2  Состав полистиролбетона подбирают согласно требованиям ГОСТ 27006.

Составы  и технологические режимы перемешивания смесей, формования и твердения полистиролбетонных изделий и конструкций проверяют перед началом массового производства изделий и конструкций или возведения сооружений, а также при изменении материалов или технологических режимов.

3.4.3  Бетонные смеси должны соответствовать требованиям ГОСТ 7473 и настоящего стандарта.

3.4.4  Марку по удобоукладываемости (жесткость или подвижность) полистиролбетонных смесей плотной или поризованной структуры назначают в пределах Ж — Ж и П — П в зависимости от вида изделий, конструкции и технологии их формования.

 

    

3.4.5  Определение жесткости производят по методике, приведенной в приложении Е.

При  приготовлении и применении полистиролбетонов крупнопористой структуры марку по удобоукладываемости не назначают.

3.4.6  Объем межзерновых пустот в уплотненных полистиролбетонных смесях плотной и поризованной структуры не должен превышать 3%.

Допускается  в обоснованных случаях, предусмотренных в технических условиях или проектной документации на изделия и конструкции конкретных видов, приготавливать и применять полистиролбетон плотной структуры с объемом межзерновых пустот в уплотненной смеси более 3, но не более 6%.

3.4.7  Объем вовлеченного воздуха в полистиролбетонной смеси не нормируется.

3.4.8  Увеличение плотности полистиролбетонной смеси за счет частичной потери вовлеченного воздуха при выгрузке, транспортировании и укладке в формы (опалубку) не должно быть более 7%.

3.4.9  Приготовленная полистиролбетонная смесь не должна расслаиваться в процессе ее выгрузки, транспортирования и формования.

Показатель  расслаиваемости, определяемый по методике, приведенной в приложении Ж, не должен превышать 25%.

3.4.10  При транспортировании полистиролбетонных смесей, готовых к употреблению (товарный бетон), должна быть обеспечена сохраняемость их свойств (удобоукладываемость, плотность, расслаиваемость) в течение времени, согласованного с потребителем, но не менее 1,0 ч.

3.4.11  Материалы, применяемые для приготовления полистиролбетона, должны удовлетворять требованиям стандартов или технических условий на эти материалы и обеспечивать получение полистиролбетона с заданными техническими характеристиками.

3.4.12  В качестве заполнителя для полистиролбетона следует применять полистирол вспененный гранулированный (ПВГ), представляющий продукт одно- или многоступенчатого вспенивания суспензионного вспенивающегося полистирола (ОСТ 301-05-202-92Е), удовлетворяющий требованиям настоящего стандарта.

Допускается  при изготовлении полистиролбетонов класса по прочности В1,0 и менее при условии соблюдения требований по экологической и противопожарной безопасности в соответствии с 4.1-4.4 применение пенополистирольного заполнителя, получаемого дроблением отходов пенополистирольных плит (ГОСТ 15588).

3.4.13  В зависимости от качества сырья (марки полистирола по ОСТ 301-05-202-92Е) и режима вспенивания пенополистирольный заполнитель (ПВГ) может иметь марку по насыпной плотности 10, 15, 20, 25, 30 с фактическими значениями насыпной плотности, указанными в таблице 4.

Таблица  4




Марка ПВГ по насыпной

плотности



Насыпная плотность ПВГ, кг/м



10




Менее 10


15


От 11 до 15


20


"    16  "  20


25


"    21  "  25


30


"    26  "  30


3.4.14  По размерам зерен ПВГ подразделяют на крупный и мелкий. Фракционный состав крупного и мелкого ПВГ должен соответствовать требованиям, указанным в таблице 5.

Таблица  5





Размер фракции, мм



Содержание, % по объему в ПВГ





крупном


мелком



10-20



5-20



0-5


5-10


70-30


30-50


2,5-5


20-50


40-60


0-2,5


0-5


5-10


Наличие  в ПВГ зерен крупностью более 20 мм не допускается.

3.4.15  Влажность ПВГ не должна превышать 15% по массе.

3.4.16  Содержание остаточного мономера (стирола) в заполнителе не должно превышать 0,002% по массе. Допускается применение ПВГ с большим содержанием остаточного мономера при условии обеспечения экологической безопасности полистиролбетона и изготовленных из него изделий в соответствии с требованиями 4.3.

3.4.17  Выбор крупности пенополистирольного заполнителя и его марки по насыпной плотности производят исходя из требований, предъявляемых к полистиролбетону по плотности и прочности в соответствии с утвержденным технологическим регламентом.

3.4.18  В качестве вяжущего следует применять портландцементы или шлакопортландцемент, удовлетворяющие требованиям ГОСТ 10178.

3.4.19  Применяемые для приготовления химические добавки (воздухововлекающие, пластифицирующие, регулирующие твердение) должны удовлетворять требованиям ГОСТ 24211.

3.4.20  Добавки-детоксиканты, применяемые при приготовлении полистиролбетона в случаях, предусмотренных 4.3 настоящего стандарта, должны соответствовать требованиям нормативной документации, утвержденной в установленном порядке.

3.4.21  Вода для затворения полистиролбетонной смеси и приготовления растворов химических добавок должна соответствовать ГОСТ 23732.

    4 Требования безопасности и охраны окружающей среды

4.1  Полистиролбетоны должны отвечать санитарно- и радиационно-гигиеническим требованиям, а изделия из полистиролбетона должны иметь гигиеническое заключение Минздрава РФ.

Удельная  эффективная активность естественных радионуклидов А сырьевых материалов, применяемых для приготовления полистиролбетонов, не должна превышать предельных значений, Бк/кг, в зависимости от области применения полистиролбетона (ГОСТ 30108).

    

 

4.2  Полистиролбетон в изделиях не должен выделять во внешнюю среду вредные химические вещества в количествах, превышающих предельно допустимые концентрации (ПДК), утвержденные Минздравом РФ и требованиями настоящего стандарта.

4.3  При приготовлении и применении полистиролбетона должен соблюдаться согласованный с разработчиком стандарта комплекс мероприятий по экологической безопасности полистиролбетона и изготовленных из него изделий. В комплекс входят специальная обработка и детоксикация пенополистирольного заполнителя, а при необходимости — полистиролбетонной смеси и изделий, обеспечивающие  величину предельно допустимой концентрации свободного стирола, выделяющегося из затвердевшего полистиролбетона в воздушной  среде, не превышающую 0,002 мг в 1 м воздуха.

    

 

4.4  Полистиролбетон относится к слабогорючим материалам, имеет группу горючести Г1.

    5. Приемка

5.1  Качество полистиролбетона, применяемого для изготовления сборных изделий и конструкций, контролируют в соответствии с требованиями ГОСТ 13015.1.

5.2  Приемку полистиролбетона по качеству при его применении для монолитных конструкций производят в соответствии с нормами по организации, производству и приемке строительных работ.

5.3  Приемку полистиролбетона по средней плотности и прочности проводят для каждой партии изделий или товарной полистиролбетонной смеси.

5.4  Среднюю плотность и прочность полистиролбетона контролируют и оценивают соответственно по ГОСТ 27005 и ГОСТ 18105. При  этом значения при оценке прочности принимают как для автоклавного ячеистого бетона.

    

 

5.5  Контроль качества полистиролбетона по показателям теплопроводности, морозостойкости, прочности на растяжение при изгибе, деформации усадки осуществляют при подборе номинального состава полистиролбетона перед началом массового производства, а в дальнейшем не реже одного раза в 6 мес. (для прочности на растяжение при изгибе — не реже одного раза в месяц), а также при изменении состава бетона, технологии его приготовления и качества используемых материалов.

5.6  Проверку экологической безопасности полистиролбетона (по выделению  остаточного мономера (стирола) и удельной эффективной активности естественных радионуклидов) производят перед началом массового производства, а также при изменении качественных характеристик применяемых материалов, но не реже одного раза в год.

5.7  Проверку пожарной опасности полистиролбетона по показателям горючести, воспламеняемости, дымообразующей способности и токсичности продуктов горения производят при организации производства конкретных видов изделий.

5.8  Полистиролбетонную смесь принимают по ГОСТ 7473 с учетом требований, приведенных в разделе 3.4 настоящего стандарта.

    6 Методы контроля

6.1  Прочность полистиролбетона на сжатие и растяжение при изгибе определяют по ГОСТ 10180 соответственно на образцах 100х100х100 и 100х100х400 мм.

6.2  Среднюю плотность полистиролбетона определяют по ГОСТ 12730.1 на образцах, предназначенных для определения прочности, с сушкой пробы, отобранной при испытании, при температуре не выше  70 °С.

6.3  Коэффициент теплопроводности (в сухом состоянии) определяют по ГОСТ  7076 на образцах 50х250х250 мм с сушкой их до постоянной массы при температуре не выше 70°С.

6.4  Морозостойкость полистиролбетона определяют по ГОСТ 10060.0 и ГОСТ 10060.1.

6.5  Деформации усадки определяют по ГОСТ 24544.

6.6  Объем межзерновых пустот в уплотненной полистиролбетонной смеси определяют испытанием затвердевших образцов по методике ГОСТ 12730.4 (объем открытых пор).

6.7  Остальные показатели качества, установленные в соответствии с 3.3.12, определяют:

—  сорбционную влажность — по ГОСТ 24816;

—  отпускную влажность — по ГОСТ 12730.2 при температуре сушки не выше 70 °С;

—  водопоглощение — по ГОСТ 12730.3;

—  паропроницаемость — по ГОСТ 25898;

—  призменную прочность, начальный модуль упругости  и коэффициент Пуассона — по ГОСТ  24452.

6.8  Содержание остаточного стирола определяют по методике, утвержденной 13.03.92 г. Госкомсанэпиднадзором РФ № 03-92, удельную эффективную активность естественных радионуклидов в материалах для приготовления полистиролбетона — по ГОСТ 30108.

6.9  Показатели пожарной опасности полистиролбетона определяют:

—  горючесть — по ГОСТ 30244;

—  воспламеняемость — по ГОСТ 30402;

—  дымообразующую  способность — по ГОСТ 12.1.044;

—  токсичность продуктов горения — по ГОСТ 12.1.044.

ПРИЛОЖЕНИЕ А

(обязательное)

     

Перечень нормативных документов

В  настоящем стандарте использованы ссылки на следующие нормативные документы:



ГОСТ 4.212-80


Строительство. Бетоны. Номенклатура показателей


ГОСТ 7076-87


Материалы и изделия строительные. Метод определения теплопроводности


ГОСТ 7473-94


Смеси бетонные. Технические условия


ГОСТ 10060.0-95


Бетоны. Методы определения морозостойкости. Общие требования


ГОСТ 10060.1-95


Бетоны. Базовый метод определения морозостойкости


ГОСТ 10178-85


Портландцемент и шлакопортландцемент. Технические условия


ГОСТ 10180-90


Бетоны. Методы определения прочности по контрольным образцам


ГОСТ 10181.0-81


Смеси бетонные. Общие требования к методам испытания


ГОСТ 10181.1-81


Смеси бетонные. Методы определения удобоукладываемости


ГОСТ  12730.0-78


Бетоны. Общие требования к методам определения плотности, влажности, водопоглощения, пористости и водонепроницаемости


ГОСТ 12730.1-78


Бетоны. Метод определения плотности


ГОСТ 12730.2-78


Бетоны. Метод определения влажности


ГОСТ 12730.3-78


Бетоны. Метод определения водопоглощения


ГОСТ 12730.4-78


Бетоны. Метод определения пористости


ГОСТ 13015.1-81


Конструкции и изделия бетонные и железобетонные сборные. Приемка


ГОСТ 15588-86


Плиты полистирольные. Технические условия


ГОСТ 18105-86


Бетоны. Правила контроля прочности


ГОСТ 23732-79


Вода для бетонов и растворов. Технические условия


ГОСТ 24211-91


Добавки для бетонов. Общие технические требования


ГОСТ 24452-80


Бетоны. Методы определения призменной прочности, модуля упругости и коэффициента Пуассона


ГОСТ 24544-81


Бетоны. Методы определения деформаций усадки и ползучести


ГОСТ 24816-81


Материалы строительные. Методы определения сорбционной влажности


ГОСТ 25192-82


Бетоны. Классификация и общие технические требования


ГОСТ  25820-83


Бетоны  легкие. Технические условия


ГОСТ  25898-83


Материалы и изделия строительные. Методы  определения сопротивления паропроницанию


ГОСТ 27005-86


Бетоны легкие и ячеистые. Правила контроля средней плотности


ГОСТ 27006-86


Бетоны. Правила подбора состава


ГОСТ 30108-94


Материалы и изделия строительные. Определение удельной эффективной активности естественных радионуклидов


ГОСТ 30244-94


Материалы  строительные. Методы испытания на горючесть


ГОСТ 30402-96


Материалы строительные. Метод испытания на воспламеняемость


ГОСТ  12.1.044-89


Пожаровзрывобезопасность веществ и материалов. Номенклатура показателей и методы их определения


ОСТ301-05-202-92Е


Полистирол вспенивающийся. Технические условия


     

     

ПРИЛОЖЕНИЕ Б

(справочное)

     

Рекомендуемые области применения полистиролбетона

Таблица  Б.1






Область применения



Показатели по


  

средней плотности


прочности на сжатие



Теплоизоляционные плиты



D150 — D250



М2 — М3,5


Монолитная теплоизоляция чердаков и кровель


D150 — D250


М2 — М3,5


Монолитная теплоизоляция трехслойных панелей, блоков и наружных стен


D200 — D250


М2,5 — М5


Теплоизоляция в колодцевой кладке


D150 — D250


М2,5 — М3,5




Пустотелые элементы для сборно-монолитных стен



D250 — D350



М5;

В0,5 — В1,0


  






Сплошные блоки или монолитные стены:







ненесущие


D250 — D400


М5;

В0,5 — В1,0


самонесущие


D350 — D450


В1,0 — В1,5


несущие


D450 — D600


В1,5 — В2,5


       

  

ПРИЛОЖЕНИЕ В

(справочное)

     

Соотношение между классами и марками полистиролбетона по прочности на сжатие

Таблица  B.1





Класс бетона по прочности



Средняя прочность бетона R, МПа



Ближайшая марка по прочности



В0,5



0,73



М7,5


В0,75


1,09


М10


В1,0


1,45


М15


В1,5


2,16


М20


В2,0


2,90


М25


В2,5


3,60


М35


     

     

ПРИЛОЖЕНИЕ Г

(справочное)

     

Нормативные и расчетные сопротивления полистиролбетона

Таблица  Г.1











Вид сопротивления



Нормативные сопротивления полистиролбетона и расчетные сопротивления полистеролбетона, МПа,

для предельных состояний второй группы при классе бетона по прочности на сжатие





М5


В0,5


В0,75


В1,0


В1,5


В2,0


В2,5




Сжатие осевое (призменная прочность) и



0,35



0,5



0,75



1,0



1,5



1,8



2,1


Растяжение осевое и



0,12


0,15


0,21


0,26


0,3


0,32


0,35


Растяжение при изгибе

и



0,23


0,27


0,38


0,47


0,55


0,58


0,64


Таблица  Г.2










Вид сопротивления



Расчетные сопротивления полистиролбетона, МПа, для предельных состояний первой группы при классе бетона по прочности на сжатие






М5


В0,5


В0,75


В1,0


В1,5


В2,0


В2,5




Сжатие осевое (призменная прочность)




0,25



0,35



0,55



0,75



1,05



1,4



1,75


Растяжение осевое



0,07


0,09


0,12


0,15


0,18


0,20


0,23


Растяжение при изгибе и



0,14


0,16


0,22


0,28


0,32


0,35


0,40


Таблица  Г.3











Начальный модуль упругости полистиролбетона


Марка полистиролбетона по средней плотности


при сжатии и растяжение Е·10, МПа, при классе бетона по прочности на сжатие





М5


В0,5


В0,75


В1,0


В1,5


В2,0


В2,5



D250



0,35



0,45







D300


0,40


0,50


0,60


D350


0,50


0,60


0,70


1,1


D400


0,70


0,80


1,2


1,3


D450


1,3


1,4


1,6


D500


1,45


1,7


1,9


D600


1,6


1,8


2,1


     

     

ПРИЛОЖЕНИЕ Д

(справочное)

     

Теплотехнические показатели полистиролбетона

Таблица  Д.1



















Расчетное массовое


Расчетные коэффициенты при условиях эксплуатации


Марка по средней плотности


Удельная теплоем-

кость, кДж/(кг·°С)

Коэффи-

циент теплопро-

водности в сухом состоянии,

отношение влаги в материале, %, при условиях эксплуатации



теплопроводность Вт/(м·°С)


паропро-

ницаемость, мг/(м·ч·Па) (А, Б)




  

Вт/(м·°С)


А



Б



А



Б


  


150



1,06



0,055



4



8



0,057



0,060



0,135


200


1,06


0,065


4


8


0,070


0,075


0,120


250


1,06


0,075


4


8


0,085


0,090


0,110


300


1,06


0,085


4


8


0,095


0,105


0,100


350


1,06


0,095


4


8


0,110


0,120


0,090


400


1,06


0,105


4


8


0,120


0,130


0,085


450


1,06


0,115


4


8


0,130


0,140


0,080


500


1,06


0,125


4


8


0,140


0,155


0,075


550


1,06


0,135


4


8


0,155


0,175


0,070


600


1,06


0,145


4


8


0,175


0,200


0,068




Примечание — При приготовлении полистиролбетона по специальной технологии расчетные значения коэффициентов теплопроводности, определяемые опытным путем, могут быть ниже приведенных в таблицe.


Пониженные расчетные значения коэффициентов теплопроводности устанавливают по результатам теплотехнических испытаний, выполненных аккредитованными Госстроем России испытательными лабораториями.


Применение пониженных расчетных значений коэффициентов теплопроводности допускается при условии их согласования с разработчиком стандарта.


     

     

ПРИЛОЖЕНИЕ Е

(обязательное)

     

Методика определения показателя жесткости полистиролбетонных смесей

Жесткость  полистиролбетонных смесей оценивается по времени растекания отформованного образца в двухгнездной стандартной форме конструкции ВНИИжелезобетона (для кубов с ребром 100 мм) под воздействием вибрации до момента достижения вибрируемой смесью противоположной торцевой стенки формы.

Определение  производится на стандартной лабораторной виброплощадке с вертикально направленными колебаниями частотой 2900±100 мин и амплитудой 0,5±0,01 мм (ГОСТ 10181). Форма крепится к виброплощадке электромагнитным или механическим способом.

Испытываемая   отобранная проба полистиролбетонной смеси укладывается в одну из двух ячеек формы с заглаживанием открытой поверхности мастерком. Во избежание попадания смеси во время укладки во второе гнездо формы оно сверху закрывается пластиной.

После  окончания укладки разделительная стенка поднимается и извлекается из формы. При необходимости для извлечения разделительной стенки несколько освобождаются крепежные болты формы. Включается виброплощадка, и определяется время достижения вибрируемой смесью противоположной торцевой стенки форм.

Замеренное  время, умноженное на переходный коэффициент 0,5, принимается за стандартный показатель удобоукладываемости (жесткости) полистиролбетонной смеси по ГОСТ 10181.

ПРИЛОЖЕНИЕ Ж

(обязательное)

     

Методика определения показателя расслаиваемости

полистеролбетонной смеси

Показатель  расслаиваемости оценивается по разнице между плотностью уплотненной вибрацией полистиролбетонной смеси в нижней и верхней частях мерного цилиндра объемом 5 л.

Отобранная  проба полистиролбетонной смеси укладывается в предварительно взвешенный металлический цилиндрический сосуд по ГОСТ 10181.2 с избытком. Сосуд со смесью устанавливается и закрепляется (электромагнитным или механическим способом) на виброплощадку с вертикально направленными колебаниями частотой 2900±100 мин и амплитудой 0,5±0,01 мм (ГОСТ 10181.1).

Смесь  в сосуде вибрируется в течение 15 с. После этого верхняя поверхность смеси в сосуде заглаживается. Определяется плотность уплотненной смеси по ГОСТ 10181.2.

Далее  из сосуда отбирается на противень и взвешивается порция уплотненной смеси примерно до половины высоты сосуда. Замеряется линейкой толщина слоя отобранной смеси (средняя по четырем измерениям) и вычисляется высота слоя оставшейся нижней части сосуда.

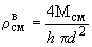
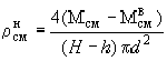
По  этим данным рассчитывается плотность полистиролбетонной смеси в верхней , и нижней частях сосуда:

;                                                                  (Ж.1)

,                                                         (Ж.2)

где М — общая масса смеси в сосуде, г;

 — средняя высота отобранного слоя, см;

 — диаметр сосуда, см;

 — высота мерного сосуда, см;

 — масса отобранной смеси, г.

Показатель  расслаиваемости, %, определяется по формуле

.                                                             (Ж.3)

Текст документа сверен по:

официальное издание

Госстрой России —

М.: ГУП ЦПП, 1999

Предоставлено компанией .