ГОСТ 19681-94
Группа Ж 21
МЕЖГОСУДАРСТВЕННЫЙ СТАНДАРТ
Арматура санитарно-техническая водоразборная
Общие технические условия
Sanitary technical water mixing and distributing accessories.
General specifications
ОКП 49 5000 ОКС 91.140.70
Дата введения 1996-01-01
Предисловие
1 РАЗРАБОТАН Научно-исследовательским институтом санитарной техники (НИИ сантехники)
ВНЕСЕН Минстроем России
2 ПРИНЯТ Межгосударственной Научно-технической Комиссией по стандартизации и техническому нормированию в строительстве Протокол от 17 ноября 1994 г.
За принятие проголосовали:
|
|
|
| Наименование государства
| Наименование органа государственного управления строительством
|
| Республика Армения Республика Беларусь
| Госупрархитектуры Республики Армения Минстройархитектуры Республики Беларусь
|
| Республика Казахстан Кыргызская Республика Республика Таджикистан Российская Федерация Республика Узбекистан
| Минстрой Республики Казахстан Госстрой Кыргызской Республики Госстрой Республики Таджикистан Минстрой России Госкомархитектстрой Республики Узбекистан
|
3 ВВЕДЕН В ДЕЙСТВИЕ с 1 января 1996 г. в качестве государственного стандарта Российской Федерации Постановлением Минстроя России от 1995 г. № 18/92 от 09.10.95
4 ВЗАМЕН ГОСТ 19681-83, ГОСТ 4.216-81
ВНЕСЕНА поправка, опубликованная в ИУС N 5, 2008 год
Поправка внесена изготовителем базы данных
1. Область применения
Настоящий стандарт распространяется на водоразборную арматуру: смесители, краны и лабораторную арматуру: ниппели, панели и др. (далее — арматуру) для холодной и горячей воды при рабочем давлении от 0,05 до 1,0 МПа и температуре до 75°С, предназначенную для санитарно-технических приборов и водоподогревателей открытого типа, устанавливаемых в зданиях различного назначения.
Стандарт не распространяется на арматуру, предназначенную для морской и минеральной воды и для работы в агрессивной среде, а также на наполнительные клапаны к смывным бачкам и на смывные краны.
Обязательные требования изложены в 4.3-4.5, 5.2.1-5.2.10, 5.2.12-5.2.16, 5.2.19, 5.2.23, 5.2.27, 5.3.
2. Нормативные ссылки
В настоящем стандарте использованы ссылки на следующие стандарты.
ГОСТ 9.014-78 ЕСЗКС. Временная, противокоррозионная защита изделий. Общие требования
ГОСТ 9.301-86 ЕСЗКС. Покрытия металлические и неметаллические неорганические. Общие требования
ГОСТ 9.302-88 ЕСЗКС. Покрытия металлические и неметаллические неорганические. Методы контроля
ГОСТ 9.303-84 ЕСЗКС. Покрытия металлические и неметаллические неорганические. Общие требования к выбору
ГОСТ 380-88 Сталь углеродная обыкновенного качества. Марки
ГОСТ 494-90 Трубы латунные. Технические условия
ГОСТ 613-79 Бронзы оловянные литейные. Марки
ГОСТ 614-73 Бронзы оловянные в чушках. Технические условия
ГОСТ 617-90 Трубы медные. Технические условия
ГОСТ 931-90 Листы и полосы латунные. Технические условия
ГОСТ 1020-77 Латуни литейные в чушках. Технические условия
ГОСТ 1066-90 Проволока латунная. Технические условия
ГОСТ 1215-79 Отливки из ковкого чугуна. Общие технические условия
ГОСТ 2060-90 Прутки латунные. Технические условия
ГОСТ 2208-91 Ленты латунные общего назначения. Технические условия
ГОСТ 2405-88 Манометры, вакуумметры, мановакуумметры, напоромеры, тягомеры и тягонапоромеры. Общие технические условия
ГОСТ 2789-73 Шероховатость поверхности. Параметры и характеристики
ГОСТ 5221-77 Проволока из оловянноцинковой бронзы. Технические условия
ГОСТ 5222-72 Проволока из кремнемарганцевой бронзы. Технические условия
ГОСТ 5362-78 Полосы латунные. Технические условия
ГОСТ 5496-78 Трубки резиновые технические. Технические условия
ГОСТ 5632-72 Стали высоколегированные и сплавы коррозионностойкие, жаростойкие, жаропрочные. Марки
ГОСТ 6357-81 Основные нормы взаимозаменяемости. Резьба трубная цилиндрическая
ГОСТ 7293-85 Чугун с шаровидным графитом для отливок. Марки
ГОСТ 7338-90 Пластины резиновые и резинотканевые. Технические условия
ГОСТ 8870-79 Колонки водогрейные для ванн. Технические условия
ГОСТ 9833-73 Кольца резиновые уплотнительные круглого сечения для гидравлических и пневматических устройств. Конструкции и размеры
ГОСТ 10007-80 Фторопласт-4. Технические условия
ГОСТ 10589-87 Полиамид 610 литьевой. Технические условия
ГОСТ 12920-67 Проволока латунная для холодной высадки. Технические условия
ГОСТ 13536-68 Резьба круглая для санитарно-технической арматуры. Профиль, основные размеры, допуски
ГОСТ 14192-77 Маркировка грузов
ГОСТ 15150-69 Машины, приборы и другие технические изделия. Исполнения для различных климатических районов. Категории, условия эксплуатации, хранения и транспортирования в части воздействия климатических факторов внешней среды
ГОСТ 15527-70 Сплавы медно-цинковые (латуни), обрабатываемые давлением. Марки
ГОСТ 15834-77 Проволока из бериллиевой бронзы. Технические условия
ГОСТ 15846-79 Продукция, отправляемая в районы Крайнего Севера и труднодоступные районы. Упаковка, маркировка, транспортирование и хранение
ГОСТ 16338-85 Полиэтилен низкого давления. Технические условия
ГОСТ 17711-93 Сплавы медно-цинковые (латуни) литейные. Марки
ГОСТ 18829-73 Кольца резиновые уплотнительные круглого сечения для гидравлических и пневматических устройств. Технические условия
ГОСТ 20419-83 Материалы керамические электротехнические. Классификация и технические требования
ГОСТ 24705-81 Основные нормы взаимозаменяемости. Резьба метрическая. Основные размеры
ГОСТ 24737-81 Основные нормы взаимозаменяемости. Резьба трапецеидальная однозаходная. Основные размеры
ГОСТ 25809-83 Смесители водоразборные. Типы и основные размеры
ГОСТ 26358-84 Отметки из чугуна. Общие технические условия
ГОСТ 26996-86 Полипропилен и сополимеры пропилена. Технические условия
ГОСТ 27679-88 Защита от шумов в строительстве. Санитарно-техническая арматура. Метод лабораторных измерений шума
ГОСТ 28250-89 Полистирол ударопрочный. Технические условия
3. Определения
В настоящем стандарте применяют следующие термины с соответствующими определениями.
Смеситель — водоразборное устройство, обеспечивающее смешение холодной и горячей воды, а также регулирование ее расхода и температуру потребителем.
Кран — водоразборное устройство, обеспечивающее получение воды из системы водоснабжения и регулирование расхода воды потребителем.
Вентильная головка — узел водоразборной арматуры, обеспечивающий управление запорным элементом.
Рукоятка — деталь водоразборной арматуры, устанавливаемая на оси узла управления запорного элемента.
Аэратор — насадок на изливе, образующий аэрированную (водовоздушную) струю.
Переключатель потока — устройство, обеспечивающее переключение воды с одного излива на другой.
Герметичность узлов соединений — отсутствие утечек воды через узлы соединений.
Компактность струи — отсутствие брызг и отдельных струек в процессе истечения воды из излива.
4 Классификация, основные параметры и размеры
4.1 В зависимости от назначения водоразборную арматуру подразделяют на санитарно-техническую водоразборную и лабораторную водоразборную.
4.1.1 К санитарно-технической водоразборной арматуре относят смесители и краны по ГОСТ 25809.
4.1.2 К лабораторной водоразборной арматуре относят ниппели, панели (двух- и четырехниппельные), краны угловые, краны со съемными ниппелями, колонки с кранами, смесители с ниппелями и изливами.
4.1.3 В зависимости от рабочего давления арматуру подразделяют на две группы
I — с рабочим давлением до 1,0 МПа;
II — с рабочим давлением до 0,63 МПа.
4.2 В зависимости от конструкции органов управления арматуру подразделяют на: краны и смесители с одной или двумя рукоятками, краны и смесители локтевые, с ножным пуском; полуавтоматическим, кнопочным или автоматическим пусками.
4.3 Размер резьбы для присоединения арматуры к системе водопровода должен быть G 1/2-В по ГОСТ 6357 и G 3/4-В по ГОСТ 8870 для присоединения смесителей для водогрейных колонок.
4.4. Присоединительная резьба вентильных головок должна быть М18х1-6 H/6 g по ГОСТ 24705. Допускается изготовление водоразборной арматуры с резьбой вентильных головок G 1/2-В по ГОСТ 6357 (для вентильных головок с керамическими запорными элементами).
4.5. Арматура должна обеспечивать расходы воды, указанные в таблице 1.
Таблица 1
|
|
|
|
| | Расход воды, л/с
| |
| Тип арматуры
| при минимальном рабочем давлении 0,05 МПа, не менее
| при рабочем давлении 0,3 МПа, не менее
|
|
Краны для умывальников, рукомойников, раковин и писсуаров
|
0,07
|
0,2
|
| Смесители для моек, умывальников, рукомойников и бидэ
| 0,07
| 0,2
|
| Смесители для ванн (в т.ч. общие для ванны и умывальника):
|
|
|
| -на излив -на душевую сетку
| 0,12 0,08
| 0,33 0,2
|
| Смесители для душа
| 0,08
| 0,2
|
| Лабораторные водоразборные колонки
| 0,15
| 0,37
|
| Лабораторные смесители
| 0,07
| 0,2
|
|
Примечание — Расходы воды при рабочем давлении 0,3 МПа являются справочными и используются при сравнении отечественной арматуры с зарубежными образцами.
| ||
5 Технические требования
5.1. Арматура должна изготавливаться в соответствии с требованиями настоящего стандарта, а также стандартов или технических условий на арматуру конкретных типов по конструкторской документации.
При разработке конструкторской и технологической документации на изделия конкретных типов необходимо применять показатели качества, указанные в приложении А.
5.2 Характеристики
5.2.1 Арматура должна быть герметичной и при закрытом положении запорных элементов выдерживать испытательное давление воды, указанное в таблице 2.
Таблица 2
В мегапаскалях
|
|
|
|
| Группа
| Рабочее давление, не более
| Испытательное давление, не менее
|
| I
| 1,0
| 1,6
|
| II
| 0,63
| 0,9
|
5.2.2 Узлы арматуры, находящиеся после запорных элементов (уплотнений запорных устройств, переключателей потока воды, поворотных изливов, душевых сеток, гибких шлангов), должны быть герметичны и выдерживать давления, указанные в таблице 3.
Таблица 3
В мегапаскалях
|
|
|
|
|
Группа
| Свободное истечение воды через излив или душевую сетку при давлении перед изделием в момент пуска, не менее
| Искусственно закрытые отверстия (излив или душевая стека); давление воды перед изделием, не менее
|
| I
| 1,0
| 0,4
|
| II
| 0,63
| 0,1
|
5.2.3 Арматура, комплектуемая гибкими шлангами (например смесители для ванн, моек и др.), должна исключать возможность обратного всасывания загрязненной воды из приборов при возникновении разрежения в системе водопровода.
5.2.4 Открывание и закрывание арматуры, переключение режимов работы должно происходить с усилием не более 10 Н. Усилие для поворота излива не должно превышать 10 Н.
5.2.5 Водоразборная арматура не должна допускать самопроизвольного изменения расхода холодной, горячей или смешанной воды при постоянном давлении перед изделием и установленном положении рукояток.
5.2.6 Вращение или перемещение рукояток запорных устройств должно происходить плавно, без заеданий.
Регулирующая способность, характеризуемая величиной перемещения точки приложения силы к рукоятке управления при регулировании температуры смешанной воды, не должна превышать 0,7°С/мм в диапазоне от 31 до 43°С.
5.2.7 Переключатели потока воды не должны допускать произвольного переключения воды во всем диапазоне рабочих давлений.
5.2.8 Вода из излива должна вытекать компактной струей, без разбрызгивания и бьющих в сторону струй.
5.2.9. Радиус факела душа смесителей на расстоянии 1200 мм от центра сетки не должен превышать 300 мм.
5.2.10 Арматура водоподогревателей должна выдерживать без ухудшения ее эксплуатационных характеристик отбор воды температурой до 100 °С в течение не более 3 мин.
5.2.11 Поворотные изливы должны свободно поворачиваться вокруг своей оси не менее чем на 120°.
5.2.12 Ресурс арматуры с керамическими запорными элементами с учетом замены резино-технических изделий должен составлять не менее 500 тыс. циклов открываний и закрываний.
Ресурс арматуры с запорными элементами из формовых резино-технических изделий с учетом замены изнашиваемых в процессе эксплуатации уплотняющих прокладок, колец и т.п. должен составлять не менее 200 тыс. циклов открываний и закрываний.
Наработка до отказа таких уплотнительных элементов, как прокладки, кольца, манжеты, сальники, должна быть не менее 60 тыс. циклов; уплотнений поворотного излива и уплотнений переключателя потока воды — не менее 40 тыс. циклов. При определении наработки до отказа сальникового уплотнения, имеющего гайку, допускается ее подтягивание в процессе проведения испытаний.
5.2.13 Рукоятки смесителей всех типов для пуска холодной воды должны иметь указатели синего цвета, для горячей воды — красного.
Открывание смесителя с одной рукояткой с керамическими запорными элементами должно осуществляться снизу — вверх, закрывание сверху — вниз, регулирование температуры воды слева — направо или справа — налево.
5.2.14 Поверхности органов управления и душевых сеток в местах захвата не должны иметь острых кромок, заусенцев, облоя.
5.2.15 Форма рукояток должна обеспечивать удобство их захвата, вращения или перемещения намыленной рукой.
5.2.16 Температура наружной поверхности органов управления в местах захвата не должна превышать 45°С.
5.2.17 Запорный клапан в запорных устройствах с вращательным движением должен свободно вращаться вокруг оси в шпинделе без заедания и не выпадать из него.
5.2.18 Прокладка должна быть закреплена в чашечке клапана запорного устройства и не выпадать в течение установленного ресурса арматуры.
5.2.19 Арматура (вновь разрабатываемая) должна классифицироваться по трем акустическим группам: I, II, III в зависимости от значения
— уровня шума арматуры или
-приведенной разности уровней в соответствии с таблицей 4.
Таблица 4
Уровень шума в децибелах
|
|
|
|
| Акустическая группа
|
|
|
| I
|
|
|
| II
|
|
|
| III
|
|
|
5.2.20 Детали, изготовленные из латунных или медных трубок (за исключением узлов присоединения к трубопроводам), должны быть гладкими, без вмятин, изгибы трубок плавными, без гофр.
В местах изгиба труб овальность не должна превышать 0,8 мм.
5.2.21 Параметр шероховатости видимых поверхностей деталей с защитно-декоративным гальваническим покрытием должен быть
0,63 мкм по ГОСТ 2789.
5.2.22 Параметр шероховатости видимой поверхности деталей, не подвергающихся защитно-декоративному покрытию, должен быть
2,5 мкм по ГОСТ 2789.
5.2.23 Видимая поверхность деталей из цветных металлов должна иметь защитно-декоративное гальваническое покрытие вида Нб.9.Х.б по ГОСТ 9.303; допускается также покрытие полиэпоксидными порошками типа ПЭП различной цветовой гаммы.
Видимые поверхности стальных деталей должны иметь покрытие видов: Нб.30.Х.б; Мб.18.Нб.12.Х.б; Н6м.М9.м.Нб.15.Х.б; М18.м.Нб.12.Х.б, невидимые после монтажа или сборки поверхностей деталей — покрытие видов Н.18; Ц18.хр; Кд 18.хр по ГОСТ 9.303.
Допускается применение защитно-декоративных покрытий других видов.
5.2.24 Защитно-декоративное гальваническое покрытие должно быть сплошным, не иметь отслаивания покрытия, трещин, царапин, забоин и других дефектов и должно удовлетворять ГОСТ 9.301.
5.2.25 Перед упаковкой стальные и чугунные детали арматуры, не имеющие защитного или защитно-декоративного гальванического покрытия, должны быть подвергнуты временной противокоррозионной защите по ГОСТ 9.014.
5.2.26 Детали арматуры, изготовленные из пластмасс, не должны иметь трещин, вздутий, наплывов, раковин, следов холодного спая и видимых без применения увеличительных приборов посторонних включений.
Выступы или углубления в местах удаления литников не должны превышать 1 мм, а следы от разъема прессформ не должны быть более 0,5 мм.
Не допускается отклонение формы деталей, влияющее на качество их сопряжений.
5.2.27 В резьбовой паре запорных устройств следует применять круглую резьбу по ГОСТ 13536 или трапецеидальную резьбу по ГОСТ 24737.
При изготовлении запорных устройств из нержавеющей стали допускается применять в резьбовой паре метрическую резьбу по ГОСТ 24705.
5.3 Требования к материалам и комплектующим изделиям
При изготовлении деталей арматуры, соприкасающихся непосредственно с водой при эксплуатации, следует применять материалы, разрешенные органами Минздрава для применения на питьевом водопроводе, а также обладающие коррозионной стойкостью, необходимой механической прочностью, устойчивостью к электрохимической коррозии.
Перечень рекомендуемых материалов приведен в приложении Б.
5.4 Комплектность
5.4.1 Предприятие-изготовитель должно комплектовать арматуру для поставки в соответствии с требованиями стандартов на арматуру конкретных типов.
5.4.2 При поставке арматуры торговым организациям предприятие-изготовитель должно комплектовать каждое изделие дополнительно резиновым кольцом для уплотнения поворотного излива (для смесителей с поворотным изливом), запасной прокладкой клапана и резиновым кольцом уплотнения шпинделя запорного устройства (на каждое устройство) или другими сменными уплотнительными элементами, применяемыми в конструкции, а также сопроводительной документацией (упаковочный талон с указанием даты упаковки, номера упаковщика и паспорта). Допускается по согласованию с потребителем дополнительно резино-технические детали не поставлять.
5.4.3 При поставке торговым организациям смесителей с одной рукояткой, термосмесителей или других аналогичных смесителей на каждое изделие прилагают инструкцию по монтажу и эксплуатации.
При поставке таких изделий строительным организациям прилагают дополнительно одну инструкцию по монтажу и эксплуатации на каждую поставляемую партию изделий. По требованию строительных организаций инструкция по монтажу и эксплуатации должна поставляться на каждое изделие. Допускается совмещение инструкции по монтажу и эксплуатации с паспортом и упаковочным талоном.
5.4.4 При поставке арматуры строительным организациям в каждый ящик с арматурой укладывают упаковочный талон с указанием даты упаковки, номера упаковщика и паспорта.
5.4.5 В паспорте должны быть указаны:
— наименование предприятия-изготовителя, его товарный знак и адрес;
— условное обозначение арматуры;
— группа по параметру герметичности;
— комплектность;
— гарантия предприятия-изготовителя;
— дата выпуска или отгрузки;
— штамп ОТК.
5.5 Маркировка
5.5.1 На наружной поверхности арматуры должен быть нанесен товарный знак предприятия-изготовителя, место и способ нанесения которого определяются предприятием-изготовителем. Маркировка должна быть сохраняющейся в течение всего срока службы арматуры. Смесители с фарфоровым корпусом допускается маркировать на патрубках.
5.5.2 Транспортная маркировка грузов с арматурой должна соответствовать требованиям ГОСТ 14192.
5.5.3 На ящиках с арматурой несмываемой краской или на ярлыке, наклееном на ящик водостойким клеем, указывают:
— наименование предприятия-изготовителя;
— условное обозначение арматуры;
— количество изделий в транспортной таре;
— дату изготовления (год, месяц);
— массу (брутто).
На ящиках с изделиями, имеющими керамические корпуса, другие керамические детали, дополнительно указывают знак: "Осторожно, хрупкое!" по ГОСТ 14192.
5.6. Упаковка
5.6.1 Арматура должна быть упакована. Упаковка должна обеспечивать сохранность изделий при транспортировании и хранении.
5.6.2 При поставке арматуры строительным организациям масса ящика брутто не должна превышать 50 кг.
5.6.3 При поставке арматуры торговым организациям масса ящика брутто не должна превышать 15 кг, масса ящика брутто, посылаемого по почте, не должна превышать 10 кг. По согласованию с потребителем допускается поставка изделий в ящиках большей массой.
6 Правила приемки
6.1 Арматуру принимают партиями. В состав партии входит арматура одного типа. Объем партии устанавливается предприятием-изготовителем не более сменной выработки.
6.2 Арматура должна быть принята техническим контролем предприятия-изготовителя.
6.3 Для проверки соответствия арматуры требованиям настоящего стандарта должны проводиться приемосдаточные, периодические и типовые испытания.
6.4 Приемосдаточные испытания
6.4.1 Проверке на соответствие требованиям 5.2.1, 5.2.13, 5.2.14 подвергают каждое изделие.
6.4.2 Проверке на соответствие требованиям 5.2.2, 5.2.4, 5.2.8, 5.2.11, 5.2.20 — 5.2.22, 5.2.24, 5.2.26, 5.2.27 подвергают три изделия при их числе в партии до 200 шт., пять изделий при их числе в партии от 201 до 1000 шт. и восемь изделий — при объеме партии более 1000 щт.
Если при проведении испытаний хотя бы одно изделие по какому-либо показателю не будет удовлетворять требованиям настоящего стандарта, проводят повторную проверку по этому показателю удвоенного количества изделий той же партии. В случае неудовлетворительных результатов допускается поштучная проверка изделий по этому показателю.
6.4.3 Проверке на соответствие требованиям 5.3 подвергают каждую партию исходных материалов.
6.4.4 Проверке на соответствие требованиям 5.4 — 5.6 подвергают не менее 2% изделий от партии.
6.5 Периодические испытания
Проверку на соответствие всем требованиям настоящего стандарта проводят не реже одного раза в год на шести изделиях, прошедших приемосдаточные испытания.
6.6 Типовые испытания
Испытания проводят с целью оценки эффективности и целесообразности предполагаемых изменений конструкции или технологии изготовления, которые могут повлиять на технические характеристики.
Испытания проводят на образцах продукции, в конструкцию которых на основании временных документов внесены изменения.
Виды и объем испытаний определяет организация-разработчик.
7 Методы контроля
7.1 Внешний вид и качество поверхностей проверяют визуально, без применения увеличительных приборов, при естественном или искусственном освещении с освещенностью не менее 200 лк (5.2.13, 5.2.14, 5.2.25, 5.2.26).
7.2 Размеры деталей арматуры проверяют универсальными или специальными средствами измерений, резьбу — резьбовыми калибрами. Качество резьбы на пластмассовых деталях проверяют визуально и свинчиванием сопрягаемых деталей вручную (4.3, 4.4).
7.3 Расход воды (3.5) определяют на гидравлическом стенде, обеспечивающем подачу воды в диапазоне регулирования давлений воды от 0,05 до 1,6 МПа с погрешностью ±2%. Стенд должен быть оборудован устройствами, обеспечивающими подачу воды давлением до 1,6 МПа запорными вентилями, показывающими манометрами класса не ниже 2,5, термометрами, расходомерами, эжектором или вакуумным насосом, обеспечивающими разрежение не менее 0,02 МПа, вакуумметром.
Для испытуемого изделия арматуры определяют расход смешанной воды при рабочих давлениях перед изделием 0,05 и 0,3 МПа в каждом из подводящих трубопроводов холодной и горячей воды. Расход измеряют при полностью открытой арматуре, укомплектованной в соответствии с рабочими чертежами. Расход воды через изделие определяют как сумму одновременных показаний двух расходомеров, установленных на каждой подводке к смесителю. Погрешность измерения ±0,01 л/с.
Допускается проверку расхода воды проводить весовым способом, при этом стенд должен комплектоваться весами с ценой деления не более 10 г, емкостью не более 10 л воды и секундомером с ценой деления 1 с.
При измерении расходов воды весовым способом определяют взвешиванием массу воды, поданной арматурой за определенное время, которое должно быть не менее 10 с.
Расход воды
, л/с, определяют по формуле
(1)
|
|
|
|
|
| где
|
| —
| масса воды при измерении ее расхода весовым способом, кг;
|
| |
| —
| время (продолжительность) подачи воды в сосуд при определении ее расхода весовым способом, с.
|
Измерение проводят не менее трех раз. Фактическим расходом воды изделия считают среднее арифметическое значение результатов проведенных измерений.
Результат считают положительным, если расходы соответствуют требованиям таблицы 1.
7.4 Герметичность арматуры (5.2.1) проверяют на стенде, состоящем из трубопровода, в котором поддерживают давление воды не менее 1,6 МПа, запорных вентилей и приспособлений для закрепления на стенде арматуры, показывающего манометра класса не ниже 2,5 по ГОСТ 2405.
Герметичность арматуры проверяют водой давлением в соответствии с таблицей 2. Испытуемое изделие устанавливают на стенд и подключают к трубопроводу, открывают вентиль и перекрывают в изделии седло на время, необходимое для выявления дефектов в деталях, уплотнениях и соединениях, находящихся до запорного клапана, но не менее 10 с.
Герметичность внутренней перегородки центральных смесителей проверяют путем подачи воды давлением в соответствии с таблицей 2 поочередно в каждую полость изделия или в штуцер тройника изделия, закрывая соответствующие седла клапанами вентильной головки. При этом в другой полости смесителя не должна появляться вода.
7.5 Герметичность узлов арматуры, находящихся после запорного элемента (5.2.2), проверяют на стенде (7.3).
Герметичность узлов арматуры, находящихся после запорного элемента, проверяют при свободном истечении воды через излив или душевую сетку путем подачи воды под давлением в момент пуска 0,63 или 1,0 МПа в течение 10 с или при заглушенном изливе или заглушенной душевой сетке путем подачи воды под давлением 0,1 или 0,4 МПа в течение 10 с.
Арматуру считают герметичной (7.4, 7.5), если при испытаниях не будет выявлено струек или капель воды в местах соединения, уплотнений и на поверхности деталей. Разрешается контроль герметичности проводить по показаниям манометра: уменьшение показаний манометра при заданном испытательном давлении 1,6 или 0,4 МПа в течение 60 с не допускается. Для составных пластмассовых душевых сеток допускается появление капель воды по периметру соединения донышка душевой сетки с ее корпусом. При этом капли воды не должны выходить за пределы душевого факела.
Вода, оставшаяся в арматуре после испытания, должна быть удалена.
7.6 Работоспособность устройства против обратного всасывания (5.2.3) проверяют на стенде гидравлических испытаний (7.3). Испытываемый образец устанавливают на стенд в собранном виде в рабочее положение так, чтобы рукоятка переключателя направления потока воды находилась в положении "на душевую сетку или щетку", при этом душевая сетка или щетка на гибком шланге должна быть опущена в мерный сосуд с водой емкостью от 0,5 до 1,0 л, расположенный ниже уровня смесителя на (1±0,1) м, с полным погружением в воду сетки или щетки. В трубопроводе создают при помощи эжектора или вакуумного насоса разрежение 0,02 МПа. Если в течение 60 с объем воды в мерном сосуде уменьшится менее чем на 5,0 см, работоспособность предохранительного устройства считают удовлетворяющей требованиям настоящего стандарта.
7.7 Величину усилия, необходимого для поворота рукояток при открывании и закрывании, переключении режимов работы арматуры, а также для поворота излива (5.2.4), проверяют путем установки испытываемого образца на стенд гидравлических испытаний (7.3), давление перед испытуемым образцом должно быть не менее 0,3 МПа. На рукоятку, излив или кнопку в месте захвата надевают приспособление, к которому на гибкой связи присоединен динамометр. При этом плечо приложения силы должно соответствовать условиям эксплуатации. Показания динамометра фиксируют во всех положениях испытываемых элементов. Результат считают положительным, если усилие для поворота излива, рукояток или переключения режимов окажется не более 10 Н.
7.8 Самопроизвольное изменение расхода воды (5.2.5) проверяют после установки образца смесителя на стенд гидравлических испытаний (7.3). Устанавливают при помощи рукоятки расход воды при давлении 0,3 МПа. По истечении 10 с фиксируют показания манометра, установленного перед изделием. Результат считают положительным, если в течение 10 с показания манометра не изменялись.
7.9 Плавность вращения шпинделей вентильных головок, перемещения рукояток переключателей потока воды смесителей и рукояток смесителей с одной рукояткой (5.2.6) проверяют после установки испытываемого образца на стенд гидравлических испытаний (7.3). Плавность вращения рукояток вентильных головок от полного подъема клапана до запирания седла и поворота рукоятки смесителей с одной рукояткой в диапазоне регулирования температуры "холодная — горячая вода", расхода "закрыто — максимальный расход" и перемещения переключателя потока воды из положения "расход на душ" в положение "расход на излив" проверяют три раза с паузами между каждым перемещением не менее 3 с. Заедание вращения шпинделя, перемещения рукоятки смесителя, переключателя потока воды не допускаются.
7.10 Регулирующую способность (5.2.6) проверяют на гидравлическом стенде (7.3) при температуре холодной воды 5-20°С, горячей воды 50-65°С.
Регулирующую способность смесителей с одной рукояткой проверяют следующим образом: перемещением рукоятки устанавливают указанный в 4.5 расход и температуру смешанной воды в диапазоне 31-43°С при давлении в подводящих трубопроводах 0,3 МПа. Перемещая рукоятку в направлении изменения температуры смешанной воды в пределах указанного диапазона, измеряют температуру в двух произвольных точках и величину перемещения точки приложения силы (угол или дугу) между температурными точками. Измерения проводят три раза и за результат принимают среднюю величину.
Регулирующую способность смесителей вентильного типа проверяют следующим образом: поворотом рукояток вентильных головок устанавливают расход воды, указанный в 4.5, и температуру смешанной воды в диапазоне 31-43°С при давлении в подводящих трубопроводах 0,3 МПа. Поворотом рукояток вентильных головок изменяют температуру смешанной воды в двух произвольных точках указанного диапазона и измеряют величину перемещения точки приложения силы (угол или дугу) одной из рукояток между температурными точками. Измерения проводят три раза и за результат принимают среднюю величину.
Величину перемещения точки приложения силы к рукоятке управления
, мм, определяют по формуле
(2)
|
|
|
|
|
| где
|
| —
| радиус от оси шпинделя смесителя до точки приложения силы давления пальца руки на рукоятку смесителя, мм;
|
| |
| —
| угол поворота, определяемый визуально в указанном диапазоне регулирования температуры воды, градус.
|
Регулировочную харакеристику определяют как частное от деления разности температуры смешанной воды на величину перемещения точки приложения силы к рукоятке управления.
Во всем указанном диапазоне температур регулировочная характеристика должна быть не более 0,7°С/мм.
7.11 Работоспособность переключателя потока воды (5.2.7) проверяют на стенде гидравлических испытаний (7.3). Установив рабочее давление перед смесителем при истечении воды на излив 0,05 МПа, проводят переключение потока воды на излив три раза с паузами между каждым переключением 60 с. Испытания повторяют при различных давлениях воды через 0,2 МПа до 1,0 МПа. Результат считают положительным, если переключатель потока воды во всем диапазоне давлений не допускал самопроизвольного переключения воды и обеспечивал герметичность потока воды с излива на душ, с душевой сетки на излив. Допускается проверку переключателя совмещать с проверкой на герметичность по 7.5.
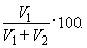
7.12 Компактность струи, вытекающей из излива (5.2.8), определяют на стенде гидравлических испытаний (7.3) при помощи приспособления в виде двух цилиндрических емкостей, установленных одна на другую так, чтобы максимальный расход попадал в малую емкость (см. рисунок 1). Способ проведения испытания следующий: при полностью открытых седлах арматуры устанавливают рабочее давление перед арматурой 0,3 МПа; цилиндры для приема воды устанавливают на расстоянии 300 мм от носика излива так, чтобы сечение цилиндров было перпендикулярно оси струи, входящей из излива. В течение 10 с определяют объем воды (
и
), налившейся в мерную емкость через цилиндры большого и малого радиуса. Объем воды
, налившейся в мерную емкость через цилиндр малого диаметра, должен составлять не менее 95% от общего объема воды, вытекшей за то время из смесителя или крана, то есть
(3)
Результат считают положительным, если не менее 95% расхода воды попало в цилиндр малого диаметра, а струя, выходящая из излива, не выходит за пределы цилиндра большого диаметра.
При проведении приемосдаточных испытаний компактность струи определяют визуально.
7.13 Радиус факела душа (5.2.9) определяют на стенде гидравлических испытаний (7.3) при полностью открытых седлах испытываемой арматуры и при рабочем давлении перед ней 0,3 МПа. Для измерения используют металлическую измерительную линейку с ценой деления 1,0 мм, расположенную перпендикулярно к факелу на расстоянии (1200±10) мм от донышка душевой сетки, или цилиндр диаметром не более 600 мм. Результат считают положительным, если радиус факела душа не превышает 300 мм.
7.14 Работоспособность смесителей для водоподогревателей (водогрейные колонки на твердом топливе, электрические и газовые водоподогреватели) при кратковременном (до 3 мин) отборе горячей воды максимальной температурой до 100°С (5.2.10) проверяют по специальной методике.

Рисунок 1 — Схема определения компактности струи
7.15 Угол поворота трубки излива смесителя (5.2.11) проверяют на стенде гидравлических испытаний (7.3) при полностью открытых седлах арматуры и рабочем давлении перед смесителем 1,0 МПа путем поворота трубки излива три раза на угол (120±5)°; заедание излива при повороте его и нарушение герметичности уплотнения излива не допускаются.
7.16 Ресурс (5.2.12) определяют на испытательном стенде (7.3). При наличии сальников в арматуре допускается их подтяжка в процессе определения технического ресурса, и не допускается при определении наработки на отказ.
7.17 Удобство пользования рукояткой (5.2.15) проверяют экспертным методом.
7.18 Температуру наружной поверхности металлических рукояток в месте захвата (5.2.16) определяют на стенде гидравлических испытаний (7.4), используя горячую воду температурой 70-75°С, для чего на подводке полностью открывают седло пуска воды и при помощи термопары или иным способом измеряют через 10 мин после начала слива температуру наружной поверхности рукоятки пуска горячей воды. Она не должна превышать 45°С.
7.19 Вращение клапана вентильных головок вокруг своей оси в головках с вращательным движением шпинделя и невыпадение клапана из него (5.2.17) проверяют от руки на собранных вентильных головках до установки на арматуре.
7.20 Надежность закрепления прокладки в чашечке клапана (5.2.18) проверяют в процессе испытания ресурса арматуры. Прокладка не должна выпадать, и не допускается ее повторное закрепление в течение всего срока испытания.
7.21 Уровень шума при работе арматуры (5.2.1.9) проверяют на специальном стенде в соответствии с ГОСТ 27679.
7.22 Овальность трубок (5.2.20) проверяют штангенциркулем измерением диаметра трубки в двух взаимно перпендикулярных направлениях в местах ее изгиба. За результат принимают значение наибольшей овальности.
7.23 Шероховатость поверхностей арматуры (5.2.21, 5.2.22) проверяют профилометром-профилографом или другой аппаратурой, или сравнением с образцами-эталонами шероховатости.
7.24 Качество защитно-декоративного гальванического покрытия и его толщину (5.2.23, 5.2.24) проверяют по ГОСТ 9.302.
7.25 Соответствие материалов (5.2) проверяют по перечню материалов, разрешенных для применения на питьевом водопроводе, или по дополнительному разрешению Минздрава, состав материалов — по сертификатам, а при их отсутствии — методом лабораторных анализов.
7.26 Комплектность (5.4), маркировку (5.5) и упаковку (5.6) проверяют визуально.
8 Транспортирование и хранение
8.1 Арматуру перевозят в крытых транспортных средствах любого вида согласно правилам перевозки грузов, действующим на каждом виде транспорта.
8.2 Арматуру следует хранить в упакованном виде в закрытых помещениях по группе С ГОСТ 15150.
9 Указания по монтажу и эксплуатации
9.1 Для затяжки гаек, имеющих защитно-декоративное гальваническое покрытие, должны применяться ключи с мягкими прокладками или губками.
9.2 Арматуру, имеющую защитно-декоративное покрытие, не допускается чистить с применением абразивных веществ (песка, толченого кирпича, паст с абразивами и т.п.).
9.3 Прокладки запорных клапанов при их износе следует заменить прокладками, изготовленными из материалов, указанных в настоящем стандарте.
9.4 Группа условий эксплуатации водоразборной и лабораторной арматуры — 2, категория размещения — 4.2 по ГОСТ 15150.
10 Гарантии изготовителя
Изготовитель гарантирует соответствие арматуры требованиям настоящего стандарта, стандартов или другой нормативно-технической документации на изделия конкретных типов при соблюдении условий транспортирования, хранения, монтажа и эксплуатации, указанных в настоящем стандарте.
Гарантийный срок хранения — 18 мес со дня изготовления.
Гарантийный срок эксплуатации арматуры — 2 года со дня сдачи объекта в эксплуатацию или продажи (при реализации арматуры через торговую сеть).
Приложение А
Рекомендуемое
Номенклатура показателей качества санитарно-технической
и лабораторной водоразборной арматуры
1 Расход воды
2 Минимальное рабочее давление
3 Максимальное рабочее давление
4 Рабочее давление
5 Регулирующая способность
6 Пробное (испытательное) давление
7 Максимальная температура горячей воды
8 Установленный ресурс
9 Наработка на отказ
10 Присоединительные размеры
11 Расстояние между присоединительными штуцерами
12 Вылет излива
13 Величина крутящего момента для поворота рукоятки или маховичка
14 Уровень звукового давления
15 Радиус разбрызгивания струи
16 Шероховатость видимых поверхностей арматуры
17 Вид (тип) покрытия поверхностей арматуры
Приложение Б
(справочное)
Перечень материалов для изготовления деталей арматуры
|
|
|
|
|
|
|
| Металлы: а) изготавливаемые методом литья: — под давлением — латунь марок ЛЦ40СД и ЛЦ40С по ГОСТ 17711, ГОСТ 1020; — в кокиль и оболочковые формы — латунь марок ЛЦ40С, ЛЦ40Сд, ЛЦ16К4 ГОСТ 17711, литейная бронза марок Бр03Ц12С5 и Бр05ЦС5по ГОСТ 613 и марки Бр03Ц13С4 по ГОСТ 614; — в сырые песчаные формы — бронза марок Бр03Ц12С5 и Бр05Ц5С5 по ГОСТ 613 и марки Бр03Ц13С4 по ГОСТ 614; б) изготавливаемые методом механической обработки или штамповки:
— прокат — латунь марок ЛЦ40С ГОСТ 17711, Л63, Л68 ГОСТ 15527 (латунные полосы по ГОСТ 5362, латунные листы и полосы по ГОСТ 931, латунные ленты по ГОСТ 2208, латунная проволока по ГОСТ 1066 и ГОСТ 12920, латунные прутки по ГОСТ 2060, трубы ДКРНМ или ДКРНП по ГОСТ 494 из латуни марки Л63 или Л68 по ГОСТ 15527, медные трубы по ГОСТ 617), проволока из оловянно-цинковой бронзы по ГОСТ 5221 или кремне-марганцевой бронзы по ГОСТ 5222 или бериллиевой бронзы по ГОСТ 15834;
|
|
|
| | — нержавеющая сталь марок 08Х18Н10Т, 12Х18Н10Т, 40Х13, 20Х13 по ГОСТ 5632;
— углеродистая сталь обыкновенного качества по ГОСТ 380 только для изготовления гаек, шайб для закрепления смесителей на полочке прибора, кронштейнов душевых сеток и аналогичных деталей;
— чугун: ковкий чугун ферритного класса по ГОСТ 1215, высокопрочный чугун марки 3445-1 по ГОСТ 7293 и ГОСТ 26358.
|
|
|
|
| Керамика по ГОСТ 20419, подгруппа 786.1.ЯО.027.002ТУ или по действующей нормативной документации.
|
|
|
|
| Пластмассы:
— полиэтилен низкого давления по ГОСТ 16338, полипропилен по ГОСТ 26996, полиамиды по ГОСТ 10589, пластик АБС 2020, сополимер формальдегида СФД, полиэтилен низкого давления радиационно-химический облученный, поликарбонат по действующей нормативной документации;
— ударопрочный полистирол по ГОСТ 28250;
— дакрил марки 2М по ОСТ 6-01-38, марок 6 и 7 по техническим условиям, фторопласт марки 4 по ГОСТ 10007;
— трубки из пластика поливинилхлоридного по техническим условиям, а также другие пластмассы, не снижающие прочности и не ухудшающие внешний вид изделия.
|
|
|
|
| Резина: формовая резина по ГОСТ 9833, ГОСТ 18829, а также резина по ГОСТ 7338 или техническим условиям, указанным в рабочих чертежах, резиновая трубка по ГОСТ 5496.
Детали, непосредственно соприкасающиеся с водой, должны изготавливаться из пищевой резины.
|
|
Текст документа сверен по:
официальное издание
МНТКС — М.: ИПК Издательство
стандартов, 1996
Предоставлено компанией .