ГОСТ 23250-78 Материалы строительные Метод определения удельной теплоемкости

Автор: | 17.02.2015

ГОСТ 23250-78

Группа Ж19


ГОСУДАРСТВЕННЫЙ СТАНДАРТ СОЮЗА ССР


МАТЕРИАЛЫ СТРОИТЕЛЬНЫЕ

Метод определения удельной теплоемкости

Building materials. Method of specific

heat determination

Дата введения 1979-01-01


РАЗРАБОТАН  Государственным комитетом СССР по делам строительства

ИСПОЛНИТЕЛИ

И.Н.  Бутовский, канд. техн. наук (руководитель темы); О.А.Веретельникова

ВНЕСЕН  Государственным комитетом СССР по делам строительства

Член  Коллегии В.И. Сычев

УТВЕРЖДЕН  И ВВЕДЕН В ДЕЙСТВИЕ Постановлением Государственного комитета СССР по делам строительства от 14 июля 1978 г. № 130

  

Настоящий  стандарт распространяется на строительные материалы и устанавливает метод определения их удельной теплоемкости в диапазоне температур от плюс 20 до 100°С.

           

1. Общие положения



1.1.  Удельная теплоемкость — количество теплоты, поглощаемое единицей массы материала при нагревании на 1°С, выражается в или .

   

  

1.2.  Метод определения удельной теплоемкости основан на измерении количества теплоты, отданной калориметру образцом известной массы, нагретым до заданной температуры.

1.3.  Удельную теплоемкость в выбранном температурном интервале калориметрического опыта вычисляют из уравнения теплового баланса.

1.4.  Для учета теплоты, поглощаемой во время опыта самим калориметром, а также тепловых потерь в уравнение теплового баланса вводится значение водяного эквивалента калориметра.

1.5.  Водяной эквивалент калориметра — это количество дистиллированной воды в граммах, которое при изменении температуры на 1 °С поглощает такое же количество теплоты, что и калориметр.

1.6.  Водяной эквивалент калориметра определяется предварительно экспериментальным путем с помощью медного эталона с известным значением теплоемкости.

1.7.  Определение удельной теплоемкости производят в лабораторных условиях при температуре воздуха в помещении 20±2 °С.

          

 

2. Аппаратура



2.1.  Установка для определения удельной теплоемкости, конструктивная схема которой приведена на черт.1, включает:

электронагреватель  для нагрева до заданной температуры капсулы с образцом или эталона. Электронагреватель представляет собой металлическую трубку длиной 250 мм, диаметром 37-45 мм, на которую по слою асбеста толщиной 3-5 мм укладывают 70 витков нихромовой проволоки диаметром 0,7 мм, затем слой асбеста толщиной 15-20 мм и дюралевую фольгу-кожух. Электронагреватель имеет две теплоизоляционные крышки: верхнюю с прорезью для нити подвеса капсулы и термопары и нижнюю с прорезью для нити подвеса капсулы. Электронагреватель должен перемещаться по вертикали по штативу магнитной мешалки и вокруг штатива;

калориметр,  представляющий собой сосуд Дьюара емкостью 500-1000 мл, помещенный в опорный водонепроницаемый цилиндрический кожух без дна с теплоизоляционной крышкой, имеющей прорезь для нити подвеса капсулы и паз для установки термометра Бекмана. В калориметр с дистиллированной водой во время опыта опускается для остывания нагретая капсула с образцом или эталон;

метастатический  термометр Бекмана со шкалой 5 °С, с ценой делений шкалы 0,01 °С для измерения температуры калориметра и холодных спаев термопары с точностью до 0,01 °С;

водонепроницаемую  цилиндрическую капсулу для образца испытываемого материала (см. черт.2). Капсула представляет собой медный или латунный стакан емкостью 25-27 с навинчивающейся крышкой. В центре крышки припаяна гильза для термопары. Между фланцами крышки и стакана должна быть прокладка из паранита, обеспечивающая водонепроницаемость капсулы. Скобу для подвески капсулы припаивают так, чтобы подвешенная капсула находилась в горизонтальном положении;

эталон  для определения водяного эквивалента калориметра. Эталон размерами 50х25х5 мм изготавливают из меди по ГОСТ 859-78 со сквозным отверстием диаметром 2 мм для нити подвеса и гнездом диаметром 3 мм и глубиной 25 мм для термопары;

проградуированную  хромель-копелевую термопару из проволоки диаметром 0,2-0,3 мм по ГОСТ 1790-77 для измерения температуры капсулы с образцом или эталона в электронагревателе;

измеритель  термо-э.д.с. термопары капсулы — электронный цифровой вольтметр по ГОСТ 22261-76, обеспечивающий измерение температуры нагретой капсулы с образцом или эталона с точностью до 0,15 °С;

           

Конструктивная схема установки для определения

 удельной теплоемкости


Период нагрева капсулы с образцом          Момент сброса капсулы с образцом


1 — калориметр; 2 — электронагреватель; 3 — капсула с образцом; 4 — магнитная мешалка;

5 — стержень магнитной мешалки; 6 — штатив магнитной мешалки; 7 — термометр Бекмана;

 8 — термопара; 9 — термос с холодными спаями термопары; 10 — крышка (верхняя)

электронагревателя; 11 — крышка (нижняя) электронагревателя;

12 — крышка калориметра; 13 — крышка термоса.

Черт.1


Конструкция водонепроницаемой

цилиндрической капсулы для образца

 

1 — навинчивающаяся крышка с гильзой для термопары;

2 — цилиндрический стакан.

Черт.2

термос  бытовой емкостью 1 л для термостатирования холодных спаев термопары;

автотрансформатор  или стабилизированный источник постоянного напряжения для питания электронагревателя переменным или постоянным током;

секундомер  типа С-1 — 2а по ГОСТ 5072-72 для отсчета времени опыта с точностью до 1 с.

2.2.  В комплекте установки допускается применять и другие средства измерений, обеспечивающие соблюдение требований, указанных в п.2.1.

           

3. Подготовка к испытанию



3.1.  Подготовка образца

3.1.1.  Исследуемый материал высушивают до постоянной массы. Температура сушки определяется видом материала и не должна вызывать в нем деструктивных изменений.

3.1.2.  Материал измельчают до размеров частиц не более 5 мм. Высушенный материал засыпают в капсулу и уплотняют трамбованием вручную в четыре слоя.

3.1.3.  Массу образца с точностью до 0,001 г определяют по разности масс капсулы наполненной и пустой.

Масса  образца должна быть не менее 5 г.

3.2.  Подготовка электронагревателя

3.2.1.  При подготовке электронагревателя определяют зависимость его температуры от напряжения питания в соответствии с пп.3.2.2-3.2.5.

3.2.2.  В центре электронагревателя подвешивают на нейлоновой нити эталон с вставленной термопарой, присоединенной к измерителю термо-э.д.с.

3.2.3.  Холодные спаи термопары опускают в термос с водой комнатной температуры, измеренной с точностью до 1 °С.

3.2.4.  Электронагреватель закрывают двумя крышками и включают нагрев при различных значениях напряжения в диапазоне 15-25 В с шагом 2 В. Температура электронагревателя определяется для каждого значения напряжения путем деления показаний вольтметра в мкВ на удельную термо-э.д.с. термопары, полученную при ее градуировке, и сложения частного с температурой холодных спаев

   

  

3.2.5.  Для определения зависимости температуры электронагревателя от напряжения учитывают только постоянные значения температуры электронагревателя при данном напряжении. Температура считается постоянной, если три ее замера, произведенные последовательно через 5 мин, отличаются не более чем на 0,15 °С.

3.3.  Определение водяного эквивалента калориметра

3.3.1.  Водяной эквивалент калориметра определяют перед сдачей установки в эксплуатацию и далее раз в месяц, а также при замене калориметра, изменении температурного интервала калориметрического опыта более чем на 1 °С и изменении температуры помещения более чем на 3 °С.

3.3.2.  Водяной эквивалент калориметра определяют в соответствии с пп.4 и 5, заменяя в опыте капсулу с образцом медным эталоном.

3.4.  Подготовка калориметра     

3.4.1.  В бытовой термос наливают 1 л дистиллированной воды температурой 20,5±0,5 °С.

3.4.2.  Термометр Бекмана настраивают на диапазон 20-25 °С.

3.4.3.  Калориметр со стержнем магнитной мешалки в нем взвешивают с точностью до 0,1 г и наливают в него из термоса 300 мл дистиллированной воды. Массу воды с точностью до 0,1 г определяют по разности масс наполненного и пустого калориметра.

3.4.4.  Калориметр устанавливают на магнитную мешалку, проверяют вращение стержня мешалки и закрывают его крышкой.

3.4.5.  Термометр Бекмана и холодные спаи термопары опускают в термос с оставшейся в нем водой и плотно закрывают его крышкой.

3.4.6.  Калориметр и термос выдерживают не менее 30 мин до начала замеров температуры.

           

4. Проведение измерений


       4.1. Для определения удельной теплоемкости капсулу с образцом и вставленной термопарой, присоединенной к измерителю термо-э.д.с., подвешивают на нейлоновой нити в центре электронагревателя.

4.2.  Электронагреватель включают на нагрев, установив напряжение, при котором поддерживается выбранная для опыта температура. Температуру электронагревателя устанавливают в зависимости от вида исследуемого материала. Она не должна вызывать деструктивных изменений в испытываемом образце. Для обеспечения необходимой точности измерений калориметр должен нагреться не менее чем на 1 °С, поэтому при минимальной массе образца (5 г) температура нагрева капсулы с образцом должна быть не менее чем на 50 °С выше температуры калориметра.

4.3.  Капсулу с образцом нагревают до выбранной постоянной температуры.

4.4.  Температуру холодных спаев термопары в термосе определяют после прогрева капсулы термометром Бекмана с точностью до 0,01 °С.

4.5.  После определения температуры термоса термометр Бекмана высушивают марлевым тампоном и опускают в калориметр. Через 15 мин включают магнитную мешалку и начинают регистрацию температуры калориметра с точностью до 0,01 °С через каждые 5 мин. Время фиксируют по секундомеру.

4.6.  Горячую капсулу с образцом опускают в калориметр через 15 мин после включения магнитной мешалки, не снимая верхней крышки электронагревателя. Калориметр закрывают крышкой. Термопара остается внутри электронагревателя. Оси электронагревателя и калориметра совмещают только в момент сброса, остальное время электронагреватель должен быть отведен в сторону для предотвращения теплового взаимодействия электронагревателя с калориметром.

4.7.  Температуру калориметра с капсулой в нем измеряют с интервалом в 1 мин в течение 20 мин. При определении водяного эквивалента калориметра температуру измеряют в течение 10 мин.

4.8.  После проведения измерений температуры капсулу с образцом высушивают марлевым тампоном и взвешивают. Если масса капсулы с образцом увеличилась более чем на 0,005 г, произведенный опыт считают недействительным.

           

5. Обработка результатов измерений


5.1.  По результатам измерений строят график зависимости температуры калориметра от времени в масштабе: 1С соответствует 100 мм по оси ординат, 1 мин соответствует 5 мм по оси абсцисс (см. черт.3).

         

           

Экспериментальный график

Черт.3

5.2.  По графику определяют:

температуру  калориметра в момент погружения капсулы с образцом или эталона в калориметр так как отсчет температуры калориметра и погружение не совпадают по времени;

температуру  теплового равновесия между капсулой с образцом или эталоном и калориметром , которая находится путем экстраполяции, чтобы исключить теплоту, полученную калориметром при вращении стержня магнитной мешалки.

   

  

5.3.  Водяной эквивалент с точностью до 0,1 г вычисляют по формуле




где



масса эталона,г;



удельная теплоемкость материала эталона, или ;


температура нагретого эталона, °С;


равновесная температура калориметра, °С;



удельная теплоемкость дистиллированной воды, равная 1 или 4187 ;



температура калориметра в момент погружения эталона, °С;



масса дистиллированной воды, г.

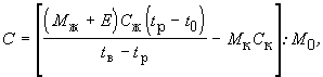
5.4.  Удельную теплоемкость с точностью до 0,01 или с точностью до 10 вычисляют по формуле





где


температура нагретой капсулы с образцом, °С;



масса капсулы, г;



удельная теплоемкость материала капсулы, или ;



масса образца, г.

5.6.  Удельная теплоемкость образца материала в интервале температур вычисляют как среднее арифметическое результатов трех определений, произведенных на данном образце.

    

 

5.7.  Удельную теплоемкость материала в интервале температур определяют по трем образцам.

    

 

5.8.  Относительная погрешность определения удельной теплоемкости по данной методике не превышает 5%.

Текст документа сверен по:

официальное издание

Госстрой СССР —     

М.: Издательство стандартов, 1979      

Предоставлено компанией .