ГОСТ 4598-86 от 1986-01-31 Плиты древесноволокнистые Технические условия

Автор: | 17.02.2015

ГОСТ 4598-86

(СТ СЭВ 4188-83)

Группа Ж15


ГОСУДАРСТВЕННЫЙ СТАНДАРТ СОЮЗА ССР


ПЛИТЫ ДРЕВЕСНОВОЛОКНИСТЫЕ

Технические условия

Fibre boards. Specifications

ОКП 55 3610

Дата введения 1986-01-31


ИНФОРМАЦИОННЫЕ ДАННЫЕ

1.  РАЗРАБОТАН И ВНЕСЕН Министерством лесной, целлюлозно-бумажной и деревообрабатывающей промышленности СССР

РАЗРАБОТЧИКИ

О.Е.Поташев,  канд. техн. наук (руководитель темы); А.Ф.Абельсон, канд. техн. наук; В.И.Бирюков, д-р техн. наук; И.В.Пинтус; Н.М.Пашков, канд. техн. наук; А.П.Шалашов, канд. техн. наук; Н.В.Шведов

2.  УТВЕРЖДЕН И ВВЕДЕН В ДЕЙСТВИЕ Постановлением Государственного строительного комитета СССР от 19.12.85 N 240

3.  Стандарт соответствует СТ СЭВ 4188-83, ИСО 2695, ИСО 2696

4.  ВЗАМЕН ГОСТ 4598-74

5.  ССЫЛОЧНЫЕ НОРМАТИВНО-ТЕХНИЧЕСКИЕ ДОКУМЕНТЫ




Обозначение НТД, на который дана ссылка


Номер пункта


ГОСТ 427-75


4.10


ГОСТ 577-68


4.9


ГОСТ 3749-77


4.6


ГОСТ 8026-92


4.5, 4.9


ГОСТ 10905-86


4.9


ГОСТ 14192-77


5.8


ГОСТ 18242-72


3.3


ГОСТ 18321-73


3.2


ГОСТ 19592-80


4.1, 4.2.1, 4.2.2


ГОСТ 20736-75


3.4


ГОСТ 23683-89


4.2.1


ГОСТ 26988-86


4.7


ГОСТ 27680-88


4.1, 4.5, 4.6


ТУ 2-034-225-87


4.5, 4.6


6.  ПЕРЕИЗДАНИЕ

Настоящий  стандарт распространяется на древесноволокнистые плиты мокрого способа производства (далее — плиты) для применения в строительстве, вагоностроении, в производстве мебели, столярных и др. изделий и конструкций, защищенных от увлажнения, а также при производстве тары.

Стандарт  не распространяется на плиты специального назначения (битумированные, биостойкие, трудносгораемые и др.), а также плиты с облицованной или окрашенной поверхностью.

(Измененная  редакция, Изм. N 1).



1. ТИПЫ И ОСНОВНЫЕ РАЗМЕРЫ

1.1.  Плиты в зависимости от назначения подразделяют на типы: твердые и мягкие.

Твердые  плиты в зависимости от прочности, плотности и вида лицевой поверхности подразделяют на марки:

Т  — с необлагороженной лицевой поверхностью;

Т-С  — с лицевым слоем из тонкодисперсной древесной массы;

Т-П  — с подкрашенным лицевым слоем;

Т-СП  — с подкрашенным лицевым слоем из тонкодисперсной древесной массы;

Т-В  — с необлагороженной лицевой поверхностью и повышенной водостойкостью;

Т-СВ  — с лицевым слоем из тонкодисперсной древесной массы и повышенной водостойкостью;

НТ  — пониженной плотности (полутвердые);

СТ  — повышенной прочности (сверхтвердые) с необлагороженной лицевой поверхностью;

СТ-С  — повышенной прочности (сверхтвердые) с лицевым слоем из тонкодисперсной древесной массы.

Твердые  плиты марок Т, Т-С, Т-П, Т-СП в зависимости от уровня физико-механических показателей подразделяют на группы качества: А и Б; по качеству поверхности плиты этих марок подразделяют на I и II сорта.

Мягкие  плиты в зависимости от плотности подразделяют на марки: М-1, М-2 и М-3.

1.2.  Область применения различных марок плит устанавливают в государственных стандартах и ТУ на изделия конкретных видов по согласованию с органами Минздрава СССР.

Плиты  марок СТ, Т-В, Т-СВ применяют для покрытия полов, в конструкциях наружных и балконных дверей с последующей отделкой лакокрасочными материалами.

1.3.  Размеры плит должны соответствовать указанным в табл.1.



Таблица 1

 мм

+——————————————————————+

¦ Тип плит ¦      Длина         ¦      Ширина        ¦   Толщина   ¦

¦          +———————+———————+————-¦

¦          ¦    Номин.   ¦ Пред.¦    Номин.   ¦ Пред.¦Номин.¦ Пред.¦

¦          ¦             ¦ откл.¦             ¦ откл.¦      ¦ откл.¦

¦          +————-¦      +————-¦      ¦      ¦      ¦

¦          ¦Макси-¦Основ-¦      ¦Макси-¦Основ-¦      ¦      ¦      ¦

¦          ¦маль- ¦ ная  ¦      ¦маль- ¦ ная  ¦      ¦      ¦      ¦

¦          ¦ная   ¦      ¦      ¦ная   ¦      ¦      ¦      ¦      ¦

+——————————————————————+

 1. Твердые         3660;         2140   2140;

                    3355;                1830;

            6100    3050;                1525;

                    2745;                1220

                    2440;

                    2140                               2,5;

                            ±3                   ±3    3,2;    ±0,3

                    3660;         1700;                4,0;

                    3050;         1220                 5,0;

                    2745;                              6,0

            5500    2440;                1700;

                    2350;                1220;

                    2050;                 610

                    1830;

                    1700;

                    1220

 2. Мягкие          3000;

                    2700;

                    2500;   ±5      1220         ±5    8,0;    ±1,0

                    1800;                              12,0;

                    1600;                              16,0

                    1220


Примечание.

Допускается  по согласованию изготовителя с потребителем изготавливать плиты с дополнительными размерами, не указанными в табл.1. При этом размеры следует выбирать с учетом безотходного раскроя плит максимального формата.

Для  твердых плит II сорта и плит марки НТ пред. откл. по толщине   (кроме производства мебели).


1.4.  Размеры плит, предназначенных для экспорта, устанавливают по спецификациям в соответствии с Условиями поставок товаров для экспорта, с учетом технических возможностей изготовителя.

1.5.  Условное обозначение плит должно состоять из марки, группы качества, сорта, размеров по длине, ширине, толщине и обозначения настоящего стандарта.

Примеры  условных обозначений

твердой  плиты с подкрашенным лицевым слоем из тонкодисперсной древесной массы, группы качества Б, II сорта с номин. размерами 3050х2140х3,2 мм:


Т-СП гр. Б II с 3050х2140х3,2 ГОСТ 4598-86

То  же, твердой плиты повышенной прочности с номин. размерами 3660х1220х4,0 мм:


СТ 3660х1220х4,0 ГОСТ 4598-86

То  же, мягкой плиты плотностью от 300 до 400 кг/куб.м с номин. размерами 1800х1220х12,0 мм:


М-1 1800х1220х12,0 ГОСТ 4598-86

1.1-1.5.  (Измененная редакция, Изм. N 1).



2. ТЕХНИЧЕСКИЕ ТРЕБОВАНИЯ

2.1.  Плиты следует изготавливать в соответствии с требованиями настоящего стандарта по технологии, разработанной на основе типовой Инструкции, утвержденной в установленном порядке.

(Измененная  редакция, Изм. N 1).

2.2.  Отклонения от номинальных размеров плит не должны превышать предельные, приведенные в табл.1.

2.3.  Плиты должны иметь прямые углы. Отклонение от прямоугольности кромок, измеренное на отрезке длиной 1000 мм, не должно быть более 2 мм.

2.4.  Кромки плит должны быть прямолинейными. Отклонение от прямолинейности, измеренное на отдельных отрезках длиной 1000 мм, не должно быть более 1 мм.

2.5.  Значения показателей физико-механических свойств плит должны соответствовать указанным в табл.2.

                                                           Таблица 2

+——————————————————————+

¦ Наименование ¦              Норма для плит марок                 ¦

¦   показателя +—————————————————¦

¦              ¦  СТ ¦  Т-В  ¦ Т, Т-П, Т-С,¦ НТ  ¦ М-1 ¦ М-2 ¦ М-3 ¦

¦              ¦     ¦  Т-СВ ¦     Т-СП    ¦     ¦     ¦     ¦     ¦

¦              ¦     ¦       +————-¦     ¦     ¦     ¦     ¦

¦              ¦     ¦       ¦Группа¦Группа¦     ¦     ¦     ¦     ¦

¦              ¦     ¦       ¦  А   ¦  Б   ¦     ¦     ¦     ¦     ¦

+——————————————————————+

1. Плотность,    950-  850-    850-   800-  Не    200-   200-  100-

 кг/куб.м        1100  1100    1100   1100  менее 400    350   200

                                            600

 2. Предел       47    40      38     33    15    1,8    1,1   0,4

 прочности

 при изгибе,

 МПа, нижняя

 граница Т(н)

 3.Разбухание    13    10      20     23    30    Не нормируется

 по толщине

 за 24 ч, %,

 верхняя

 граница Т(в)

 4. Влажность,

 %:

   — нижняя      3     4       4      4     3     Не нормируется

   граница Т(н)

   — верхняя                       10                 12

   граница не

   более

 5. Водопогло-       Не нормируется                   34

 щение за 2 ч,

 %, верхняя

 граница Т(в)

 6. Водопогло-   7     7       11     13          Не нормируется

 щение лицевой

 поверхности

 за 24 ч,

 верхняя грани-

 ца Т(в)

 7. Предел       0,32  0,30    0,30   —          Не нормируется

 прочности при

 растяжении

 перпендику-

 лярно к плас-

 ти, МПа,

 нижняя грани-

 ца Т(н)


Примечания:

1.  Норма показателя водопоглощения лицевой поверхностью относится к плитам с лицевым слоем из тонкодисперсной древесной массы, а также к плитам марки СТ.

2.  Средний уровень физико-механических показателей твердых плит для последовательности партий приведен в приложении.

3.  По требованию потребителя значение показателя нижней границы влажности плит марок Т, Т-П, Т-С, Т-СП группы А может быть принято 5%.

(Измененная  редакция, Изм. N 1).

2.6.  Коэффициент теплопроводности мягких плит (справочное значение), Вт/(м·К):

0,05  … для плит марки М-3

    

0,07  …   "      "       "     М-2

0,09  …   "      "       "     М-1

2.7.  (Исключен, Изм. N 1).

2.8.  Содержание вредных химических веществ, выделяемых плитами в производственных помещениях, при изготовлении плит не должно превышать предельно допустимых концентраций (ПДК), утвержденных Министерством здравоохранения СССР для воздуха рабочей зоны производственных помещений.

В  условиях эксплуатации плит не должны выделяться химические вещества в количествах, превышающих ПДК, утвержденные Министерством здравоохранения СССР.

Упрочняющие  и гидрофобные добавки, используемые при производстве плит, должны выпускать по государственным стандартам и ТУ, согласованным органами Министерства здравоохранения СССР.

В  качестве упрочняющих добавок должны применяться малотоксичные смолы с содержанием свободного формальдегида не более 0,1%.

Содержание  добавок формальдегидосодержащих смол в рецептуре плит по отношению к абсолютно сухой массе не должно превышать 1,3%.

(Измененная  редакция, Изм. N 1).

2.9.  Цветовая тональность и степень размола древесины лицевого слоя твердых плит должны соответствовать образцам-эталонам, согласованным изготовителем с основными потребителями.

2.10.  По качеству поверхности плиты должны соответствовать нормам, указанным в табл.3.


Таблица 3

+——————————————————————+

¦     Наименование     ¦              Норма для плит               ¦

¦        дефекта       +——————————————-¦

¦                      ¦        I сорта      ¦      II сорта       ¦

+——————————————————————+

 1. Углубления

 (выступы):

     — на лицевой        Не допускаются        Не допускаются глуби-

     поверхности                               ной (высотой) более

                                               пред. откл. по тол-

                                               щине


     — на нелицевой      Не допускаются более  Не нормируются

     поверхности         2 шт. площадью 25

                         кв.см на 1 кв.м глу-

                         биной (высотой) более

                         пред. откл. по толщи-

                         не

 2. Царапины на          Не допускаются на 1   Не нормируются

 лицевой поверхности     кв.м суммарной длиной

                         более 100 мм в кол.

                         более 2 шт.

 3. Разнооттеночность    Не допускается пло-   Не нормируются

 лицевой поверхности     щадью более 5 % по-

                         верхности плиты

 4. Пятна от воды на     Не допускаются на 1   Не нормируются

 лицевой поверхности     кв.м суммарной пло-

                         щадью более 5 кв.см

 5. Пятна производ-      Не допускается более  Не допускаются на

 ственного характера,    одного пятна на 1     1 кв.м суммарной

 в т. ч. от масла и      кв.м диаметром более  площадью более 10

 парафина на лицевой     8 мм                  кв.см

 поверхности

 6. Сколы, местные       Не допускаются (еди-  Не допускаются

 повреждения кромок      ничные глубиной по    глубиной более 5 мм

                         пласти 2 мм и менее

                         протяженностью по

                         кромке 15 мм и менее

                         не учитываются)


Для  мягких плит допускаются углубления (выступы), сколы, местные повреждения кромок в пределах отклонений по длине, ширине и толщине плиты.

Для  всех марок плит не допускаются расслоения, прогары, бахрома на кромках и посторонние включения.

Лицевая  поверхность плиты должна иметь одну цветовую тональность и однородную структуру из равномерно размолотых волокон.

(Измененная  редакция, Изм. N 1).

2.11.  (Исключен, Изм. N 1).


3. ПРАВИЛА ПРИЕМКИ

3.1.  Плиты предъявляют к приемке партиями. Партией считают кол. плит одной марки и размера, изготовленных по одному технологическому режиму в течение, как правило, одной смены (но не более суточной выработки) и оформленных одним документом о качестве.

3.1.1.  Для проверки соответствия плит требованиям настоящего стандарта проводят приемосдаточные и периодические испытания. Приемосдаточным испытаниям подвергают все плиты на соответствие требованиям настоящего стандарта (плотность, водопоглощение лицевой поверхностью и предел прочности при растяжении перпендикулярно к пласти определяют при приемосдаточных испытаниях каждой партии по требованию потребителя).

3.1.2.  Плотность, водопоглощение лицевой поверхностью и предел прочности при растяжении перпендикулярно к пласти контролируют периодически — не реже одного раза в две недели и при каждом изменении технологии изготовления плит.

3.1.1,  3.1.2. (Введены дополнительно, Изм. N 1).

3.2.  Отбор плит для контроля и испытаний производят методом случайного отбора "вслепую" по ГОСТ 18321.

3.3.  Для контроля длины, ширины, толщины, прямолинейности, прямоугольности, а также показателей качества поверхности и внешнего вида плит применяют статистический приемочный контроль по альтернативному признаку по ГОСТ 18242.

Объем  выборки определяют в соответствии с требованиями табл.4.



Таблица 4

                               шт.

+——————————————————————+

¦ Объем партии ¦ Объем выборки при проверке ¦ Число годных плит от ¦

¦              +—————————-¦ объема выборки, при  ¦

¦              ¦длины, ширины,¦качества по- ¦   котором партия     ¦

¦              ¦толщины, пря- ¦верхности и  ¦принимается, не менее,¦

¦              ¦молинейности, ¦внешнего вида¦    при проверке      ¦

¦              ¦прямоугольнос-¦(общий уро-  +———————-¦

¦              ¦ти (специаль- ¦вень контро- ¦длины, ши- ¦ качества ¦

¦              ¦ный уровень   ¦ля — 1)      ¦рины, тол- ¦поверхно- ¦

¦              ¦контроля S-3) ¦             ¦щины, пря- ¦сти и вне-¦

¦              ¦              ¦             ¦молинейнос-¦шнего вида¦

¦              ¦              ¦             ¦ти, прямо- ¦          ¦

¦              ¦              ¦             ¦угольности ¦          ¦

+——————————————————————+

 До 500               8             20            7          17

 От 501 до 1200       13            32            11         27

 "  1201 " 3200       13            50            11         43

 "  3201 " 10000      20            80            17         70


3.4.  Для контроля физико-механических показателей плит применяют статистический приемочный контроль по количественному признаку по ГОСТ 20736.

Объем  выборки определяют в соответствии с требованиями табл.5.



Таблица 5

+——————————————————————+

¦   Объем партии, шт.   ¦  Объем выборки, шт. ¦     Приемочная     ¦

¦                       ¦(специальный уровень ¦  постоянная k(s)   ¦

¦                       ¦    контроля S-3)    ¦                    ¦

+——————————————————————+

  До 280                           3                 0,958

  От 281 до 500                    4                 1,01

  "  501  " 1200                   5                 1,07

  "  1201 " 3200                   7                 1,15

  "  3201 " 10000                  10                1,23


(Измененная  редакция, Изм. N 1).

3.5.  При приемке партии на предприятии-изготовителе объем партии определяют по числу плит максимального формата.

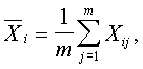
3.6.  Для оценки партии плит по каждому из показателей — плотности, пределу прочности при изгибе, разбуханию по толщине, влажности и водопоглощению вычисляют выборочное среднее по каждой плите  по формуле

где Х(ij) — значение показателя j-го образца i-й плиты выборки из n плит;

m  — число образцов, отбираемых от каждой плиты.     

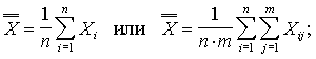
По  тем же показателям вычисляют:

                                             

—  выборочное среднее по всем образцам    по формуле     

—  среднее квадратическое отклонение выборочных средних по плите (для показателей, кроме плотности) S по формуле

—  значения величин и    по формулам:


где Т(н) и Т(в) — соответственно нижняя и верхняя границы контролируемого параметра, указанные в табл.2.

3.7.  В выборке должны отсутствовать плиты с прогарами и расслоениями.

В  выборке отсутствуют плиты с дефектами, указанными в п.2.11.

Выборочное  среднее значение показателя плотности по всем образцам по результатам испытаний последнего контроля соответствует норме, указанной в табл.2.

Число  плит из отобранных для контроля длины, ширины, толщины, прямолинейности, прямоугольности, внешнего вида, качества поверхности и соответствующих нормам пп.2.2-2.4, 2.9, 2.10 — не менее указанного в табл.4.

Значения  величин Q(н) и Q(в) по каждому показателю, рассчитанные по п.3.6, в т. ч. по результатам испытаний последнего контроля водопоглощения лицевой поверхностью и предела прочности при растяжении перпендикулярно к пласти, должны быть не менее приемочной постоянной k(s), указанной в табл.5.

3.6,  3.7. (Измененная редакция, Изм. N 1).

3.8.  Если показатель водопоглощения лицевой поверхности плит с лицевым слоем из тонкодисперсной массы не соответствует установленным настоящим стандартом требованиям, поверхность плит считают необлагороженной и индекс С марке не присваивают.

3.9.  Потребитель имеет право проводить контрольную проверку качества плит, соблюдая правила приемки и применяя методы испытаний, установленные настоящим стандартом.


4. МЕТОДЫ КОНТРОЛЯ

4.1.  Отбор и подготовку образцов, определение физических и механических свойств плит проводят по ГОСТ 19592 и в соответствии с требованиями настоящего стандарта.

Контроль  размеров проводят по ГОСТ 27680.

(Измененная  редакция, Изм. N 1).

4.2.  Определение водопоглощения лицевой поверхностью

4.2.1.  После кондиционирования и взвешивания образцов, предназначенных для определения водопоглощения по ГОСТ 19592, производят гидроизоляцию их кромок и нелицевой поверхности, а также повторное взвешивание образцов до вымачивания.

Гидроизоляцию  осуществляют погружением образцов в расплавленный парафин по ГОСТ 23683 при температуре (85±5) °С кромками и нелицевой стороной. При нанесении парафина на кромки образец погружают по очереди каждой кромкой до линии, отстоящей от нее на 3 мм.

4.2.2.  Испытание плит — по ГОСТ 19592.

4.2.3.  Водопоглощение лицевой поверхностью А(л.п) в процентах вычисляют с точностью до 0,1% по формуле


где   — масса образца без гидроизоляции, г;


  — масса сухого образца с гидроизоляцией, г;


  — масса образца с гидроизоляцией после вымачивания, г.

4.3.  Влажность плит, увлажненных в увлажнительных машинах, определяют не ранее чем через 24 ч после выхода их из производства.

4.4.  Цветовую тональность и степень размола древесины лицевого слоя оценивают визуально при сравнении с образцами-эталонами размерами 200х300 мм.

4.5.  Отклонение от прямолинейности кромок определяют по ГОСТ 27680 или при помощи поверочной линейки (по ГОСТ 8026) длиной 1000 мм не ниже второго класса точности и набора щупов N 4 по ТУ 2-034-225.

Измерения  проводят не менее чем в трех местах по длине двух смежных кромок с погрешностью не более 0,1 мм.

4.6.  Отклонение от прямоугольности кромок определяют по ГОСТ 27680 или при помощи поверочных угольников по ГОСТ 3749 не ниже второго класса точности с длиной одной из сторон 1000 мм и набора щупов N 4 по ТУ 2-034-225. Измерение проводят на каждом угле плиты с погрешностью не более 0,1 мм.

4.5,  4.6. (Измененная редакция, Изм. N 1).

4.7.  Предел прочности при растяжении перпендикулярно к пласти плиты определяют по ГОСТ 26988.

4.8.  Площадь пятен на поверхности плиты определяют с точностью до 0,25 кв.см, используя сетку с квадратными ячейками со сторонами 5 мм, нанесенную на прозрачном листовом материале.

Отклонения  от точности нанесения линий сетки — не более 0,5 мм.

При  подсчете числа ячеек, перекрываемых пятном, ячейки с перекрытием больше половины их площади считают за целые, а с перекрытием меньше половины не учитывают.

4.9.  Глубину вмятин и высоту выпуклостей определяют при помощи индикатора часового типа марки ИЧ-10 по ГОСТ 577, закрепленного в металлической П-образной скобе с цилиндрическими опорными поверхностями с радиусом (5±1) мм и пролетом между опорами 60-100 мм.

Установку  шкалы индикатора в нулевое положение производят при установке скобы на поверочную линейку по ГОСТ 8026 или поверочную плиту по ГОСТ 10905.

Ход  штока в обе стороны от опорной плоскости должен быть не менее 2 мм.


4.10.  Линейные размеры дефектов определяют при помощи металлической линейки по ГОСТ 427.

4.11.  Количество химических веществ, выделяющихся из готовых плит, а также периодичность контроля определяются органами санитарного надзора в соответствии с действующими методическими указаниями, утвержденными Министерством здравоохранения СССР.

С  1991 г. контроль за выделением формальдегида должен осуществляться предприятием-изготовителем по методике, согласованным Минздравом СССР.

4.7-4.11.  (Введены дополнительно, Изм. N 1).


5. ХРАНЕНИЕ, УПАКОВКА И ТРАНСПОРТИРОВАНИЕ

5.1.  Условия хранения и складирования плит должны обеспечивать сохранность формы плит и исключить механические повреждения во время хранения.

(Измененная  редакция, Изм. N 1).

5.2.  (Исключен, Изм. N 1).

5.3.  Плиты хранят в закрытых помещениях рассортированными по маркам, сортам и размерам.

5.4.  При поставке плит торгующим организациям по их требованию на каждой пачке плит закрепляют этикетку, содержащую:

—  наименование или товарный знак предприятия-изготовителя;

—  условное обозначение плит;

—  число плит в пачке;

—  дату изготовления и номер смены;

—  штамп отдела технического контроля.

5.5.  Каждая отгружаемая партия плит одной марки, группы и сорта должна сопровождаться документом о качестве, удостоверяющим ее соответствие требованиям настоящего стандарта и содержащим:

—  наименование организации, в систему которой входит предприятие-изготовитель;

—  наименование предприятия-изготовителя, его товарный знак и адрес;

—  условное обозначение плит;

—  число плит в партии, их общую площадь в квадратных метрах, определенную с точностью до 0,01 кв.м;

—  дату изготовления и номер партии.

5.3-5.5.  (Измененная редакция, Изм. N 1).

5.6.  Документ о качестве закрепляют во влагозащитной упаковке на продукции на видном месте.

5.7.  При поставке на экспорт плиты упаковывают и маркируют в соответствии с технической документацией, согласованной с внешнеторговыми организациями.

5.8.  Плиты перевозят всеми видами транспорта в соответствии с Правилами перевозки грузов, действующими для данного вида транспорта, с обязательным предохранением от атмосферных осадков и механических повреждений.

При  железнодорожных перевозках размещение и крепление плит в транспортных средствах следует производить в соответствии с Техническими условиями погрузки и крепления грузов, утвержденными Министерством путей сообщений.

Допускается  перевозка плит в контейнерах транспортными пакетами и стопами в соответствии с технической документацией, согласованной с соответствующими транспортными министерствами и потребителем.

Транспортная  маркировка — по ГОСТ 14192.


5.7,  5.8. (Измененная редакция, Изм. N 1).



Приложение

Справочное

ФИЗИКО-МЕХАНИЧЕСКИЕ ПОКАЗАТЕЛИ ТВЕРДЫХ ДВП

(СРЕДНИЙ УРОВЕНЬ ДЛЯ ПОСЛЕДОВАТЕЛЬНОСТИ ПАРТИЙ)

+—————+—————————————————+

¦ Наименование ¦            Значение для плит марки                ¦

¦  показателя  +—————————————————+

¦              ¦    СТ    ¦   Т-В   ¦ Т, Т-П, Т-С, Т-СП ¦    НТ    ¦

¦              ¦          ¦  Т-СВ   +——————-¦          ¦

¦              ¦          ¦         ¦ группа А¦ группа Б¦          ¦

+—————+—————————————————+

 1. Предел          52        45        42         38        20

 прочности при

 изгибе, МПа

 2. Предел          0,40      0,36      0,34       0,30      0,25

 прочности при

 растяжении

 перпендикуляр-

 но к пласти,

 МПа

 3. Разбухание      9         7         16         18        25

 по толщине за

 24 ч, %



Текст документа сверен по:

офицальное издание

Деревянные детали и изделия

из древесины для строительства.

Часть 2. Ворота, детали и изделия,

щиты перекрытий и покрытий, балки

перекрытий, изделия паркетные, конструкции

клееные, плиты ДВП и ЦСП: Сб. ГОСТов. —

М.: ИПК Издательство стандартов, 1996

Предоставлено компанией .